【会员论文】电子科技大学罗小蓉教授团队: 具有变注入氟离子复合终端的β-Ga₂O₃ SBD与应力测试
日期:2025-10-20阅读:439
由电子科技大学罗小蓉教授的研究团队在学术期刊 IEEE Transactions on Electron Devices 发布了一篇名为 Variable Fluoride Ion Implantation Compound Termination in β-Ga2O3 Schottky Barrier Diode With Stress Test (具有变注入氟离子复合终端的 β-Ga2O3 SBD 与应力测试)的文章,魏雨夕博士后为论文第一作者,罗小蓉教授和魏杰研究员为论文通讯作者。
项目支持
本工作得到以下项目资助:国家自然科学基金面上项目和青年科学基金项目(62404030和62374028),四川省中央引导地方自由探索项目(2023ZYD0160),稳定支持项目(WDZC202446003)和电子薄膜与集成器件全国重点实验室开放基金(KFJJ202306)。
背景
β-Ga2O3 因其4.5-4.9 eV的高禁带宽度和 8 MV/cm 的高临界击穿场强,被视为下一代功率电子器件的理想材料。功率二极管是电力电子领域的核心元件。然而,β-Ga2O3 二极管阳极边缘的电场集中会导致器件发生提前击穿。为提高器件的击穿电压,多种终端技术已被提出以有效实现 β-Ga2O3 二极管的高功率与高 P-FOM 值。基于氮离子、氦离子和镁离子注入的终端技术已经被报道,通过形成高阻区来抑制峰值电场并提高击穿电压。此外,氟离子注入也被证明是一种有效的终端技术。但需要关注的是,离子注入在 β-Ga2O3 中会对 β-Ga2O3 晶格造成损伤,诱发陷阱与缺陷,从而影响器件的可靠性。
主要内容
研究团队通过仿真与实验研究,提出并验证了一种具有变注入氟离子复合终端(variable fluoride ion F⁻ implantation compound termination, VFT)的氧化镓肖特基势垒二极管,该器件具有高击穿电压和高可靠性。VFT 终端的结构特征为:在 Al2O3/SiO2 槽型终端中具有变注入的氟离子,同时引入场板。新结构的创新机理为:其一,氟离子变注入等效于引入变分布的附加电荷,可有效调制电场分布以提高击穿电压;其二,Al2O3/SiO2 复合介质沟槽减少终端区域的电荷数量,从而降低表面电场峰值;其三,场板结构可进一步缓解阳极边缘的电场集中现象。以上三重优势显著增强器件击穿特性。其四,将氟离子注入介质层而非 β-Ga2O3 中,最大程度避免了 β-Ga2O3 晶格损伤,显著减少陷阱与缺陷的产生,从而保证了器件的高可靠性。
总结
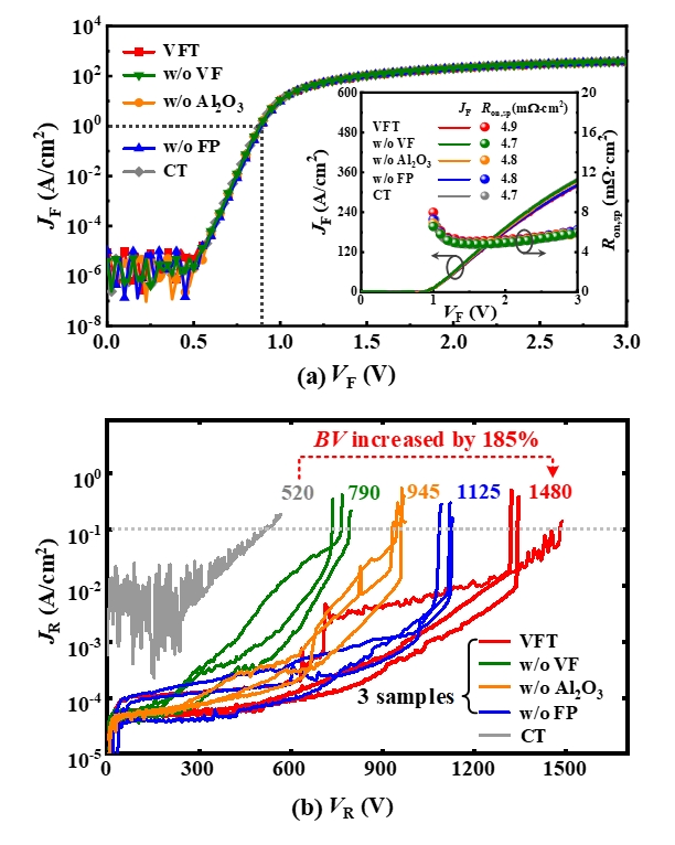
研究团队提出和制备了具有高击穿电压和可靠性的 VFT SBD 新结构。与未进行氟离子注入的常规 SBD 相比,VFT SBD 在不影响器件正向导通特性的前提下,将击穿电压从 520 V 显著提升至 1480 V,同时展现出快速稳定的反向恢复特性。通过施加 1 V、3 V、5 V 正向偏压和 -100 V 至 -700 V 反向偏压的应力测试评估器件可靠性。施加应力前后,VFT SBD 的电流密度、比导通电阻和开启电压的波动均小于3%。实验结果表明,所制备的具有氟离子变注入复合终端的氧化镓肖特基势垒二极管实现良好的阻断特性和可靠性,展现出在高功率、高可靠性应用领域中的工作潜力。

图1. (a) VFT 与(b) CT SBDs 的垂直截面示意图;(c) VFT SBD 终端区域的电荷场调制机理;(d) 关态下的 CT SBD;(e) VFT 与 CT SBDs 的电场分布示意图;(f) VFT SBD 的扫描电镜图像。

图2. 五种 SBD 的 J-V 特性测试结果。(a) 对数坐标下的 JF–VF 特性曲线,插图为线性坐标下的 JF–VF 曲线及提取的 Ron,sp;(b) JR–VR 特性曲线。

图3. 基于应力-测试-应力方法的应力施加逻辑示意图
DOI:
doi.org/10.1109/TED.2025.3614520








