【国内论文】内蒙古工业大学:外加电场下Mo掺杂与点缺陷(Hᵢ, Vₒ)对单层β-Ga₂O₃光催化性能调控的第一性原理研究
日期:2025-12-08阅读:377
由内蒙古工业大学的研究团队在学术期刊 Journal of Physics and Chemistry of Solids 发布了一篇名为 First-Principles Study on the Regulation of Photocatalytic Performance in Monolayer β-Ga2O3 with Mo Doping and Point Defects (Hi, VO) under an External Electric Field(外加电场下 Mo 掺杂与点缺陷(Hi, VO)对单层 β-Ga2O3 光催化性能调控的第一性原理研究)的文章。
背 景
深紫外(DUV)光电探测器在导弹预警、安全通信、环境监测和生化检测等民用和军用领域具有广泛的应用前景。β-Ga2O3 作为一种新兴的超宽禁带半导体,具有高化学/热稳定性、高击穿场强和良好的日盲吸收特性,是制备 DUV 探测器的理想材料。然而,β-Ga2O3 基探测器通常需要外部偏压驱动,导致高功耗。构建 p-n 异质结是实现零偏压自供电探测的有效途径。由于 β-Ga2O3 难以实现稳定的 p 型掺杂,寻找合适的 p 型宽禁带材料与其构建异质结成为研究热点。铝酸镧(LAO)是一种具有宽带隙和良好介电性能的p型氧化物材料,且与 Ga2O3 晶格失配较小,是构建高性能异质结的潜力材料。
主要内容
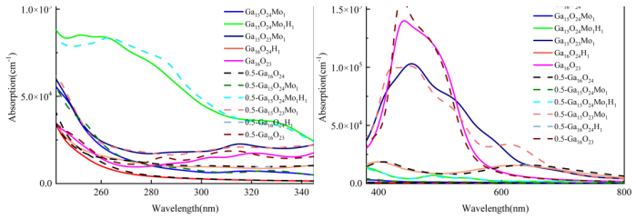
光催化水分解制氢是解决能源与环境问题的重要途径,其关键在于开发稳定的光催化剂。本研究基于密度泛函理论框架,采用第一性原理 GGA+U 方法,探讨 Mo 掺杂及间隙氢与氧空位共存对单层 β-Ga2O3 光催化性能的影响。同时探究了 0.5 V/Å 外加电场对光催化性能的调控效应。通过计算分析了可见光响应、载流子寿命、能带边缘位置、功函数及自由能等参数。结果表明,间隙氢与外加电场均能显著延长载流子寿命。Mo 掺杂结合间隙氢配置可显著增强单层 β-Ga2O3 的紫外吸收能力,并伴随吸收光谱的明显红移。该结构同时展现出更长的载流子寿命、更高的载流子迁移率及优异的可还原性,成为光催化制氢的理想候选体系。同时,含氧空位体系展现出增强的可见光吸收能力,最大吸收系数达 105 cm−1,表明其具备高效可见光利用特性。其中,Mo 掺杂与氧空位共存体系呈现最强氧化能力和最优光催化活性,有望成为高效氧析出光催化剂。
研究亮点
•采用第一性原理方法,研究了在外部电场作用下 Mo 掺杂单层 β-Ga2O3 的光催化性能。
•含氧空位的体系表现出增强的可见光吸收能力,吸收系数高达 105 cm-1。
•间隙氢的掺入可提高体系的电子漂移速度。
•Ga2O3: Mo,H 体系在 0.5 V/Å 电场下呈现明显的吸收光谱红移及更强的还原能力。
结 论
本研究采用第一性原理 GGA+U 方法,探讨了 Mo 掺杂、Hi 与 VO 共存以及电场对 ML 型 β-Ga2O3 光催化性能的影响。结果表明,在 Ga 富集条件下,Mo 掺杂体系更具稳定性,而 Hi 的引入进一步提升了结构稳定性。所有掺杂体系中,空穴有效质量均大于电子,且电子易迁移而空穴难迁移,有利于空穴分离。Hi 可提高电子迁移率与空穴电子有效质量比,提升载流子分离速率;Hi 与外加电场均能延长体系载流子寿命。Mo 掺杂与 Hi 显著增强了多层 β-Ga2O3 对紫外光的吸收能力,吸收光谱呈现显著红移效应,并提升光利用率;该系统还展现出更长的载流子寿命、更高的载流子活性及更优异的可还原性;其氢气析出自由能更接近零,对水电解制氢具有相对最有利的条件。因此,Mo 掺杂结合 Hi 可使 ML β-Ga2O3 成为光催化制氢的有效催化剂。含 VO 的体系具有增强的可见光吸收能力,最大吸收系数达 105 cm−1,表明其可见光利用效率较高。其中 Mo 掺杂与 VO 共存的体系具有最强氧化能力和最佳光催化活性。当施加 6.56 V 电压时,该体系的光生空穴可驱动氧析出反应(OER),有利于光催化水分解。因此掺杂 Mo 并引入 VO 可使 ML 型 β-Ga2O3 成为光催化产氧催化剂。Mo 掺杂有效缩窄了 ML 型 β-Ga2O3 的带隙并引入杂质能级。这些改性促进了电子从价带向杂质能级的跃迁,导致吸收边显著红移。结果显示掺杂材料在可见光吸收和还原能力方面均获得显著提升,从而提高了其光催化效率。本研究为新型光催化材料的设计与制备提供了理论参考价值。
项目支持
本研究得到内蒙古自治区自然科学基金(2024LHMS01011, 2025QN01024);内蒙古自治区一级学科科研项目(PZ2024000561);内蒙古工业大学科研启动基金(DC2400003099)的支持。

图1. β-Ga16O24 模型:(a). 正面视图;(b). 顶部视图。

图2. 掺杂体系的俯视图与正视图:(a). Ga15O24Mo1; (b). Ga15O24Mo1H1; (c). Ga15O23Mo1; (d) Ga16O24H1; (e). Ga16O23。


图3. 动力学稳定性:(a). Ga16O24; (b). Ga15O24Mo1. (c). Ga15O24Mo1H1; (d). Ga15O23Mo1; (e) Ga16O24H1; (f). Ga16O23. (g). 0.5-Ga16O24; (h). 0.5-Ga15O24Mo1. (i). 0.5-Ga15O24Mo1H1; (j). 0.5- Ga15O23Mo1; (k) 0.5-Ga16O24H1; (l). 0.5-Ga16O23。

图4. 0 和 0.5 V/Å 电场下 Ga16O24, Ga15O24Mo1, Ga15O24Mo1H1, Ga15O23Mo1, Ga16O24H1 以及 Ga16O23 的能带图。

图5. 0 和 0.5 V/Å 电场下的复杂介电函数:Ga16O24, Ga15O24Mo1, Ga15O24Mo1H1, Ga15O23Mo1, Ga16O24H1 和 Ga16O23。(a)实部;(b)虚部。

图6. 吸收光谱:Ga16O24, Ga15O24Mo1, Ga15O24Mo1H1, Ga15O23Mo1, Ga16O24H1 和 Ga16O23。(a)242–340 nm;(b)380–800 nm。

图7. 光催化氧化还原反应原理示意图。

图8. 0 和 0.5 V/Å 电场下 Ga16O24, Ga15O24Mo1, Ga15O24Mo1H1, Ga15O23Mo1, Ga16O24H1 和 Ga16O23 的带边位置分布。

图9. 0 和 0.5 V/Å 电场下:Ga16O24, Ga15O24Mo1H1, Ga15O23Mo1, Ga16O24H1 和Ga16O23 的功函数。

图10. 0和0.5 V/Å电场下Ga16O24, Ga15O24Mo1, Ga15O24Mo1H1, Ga15O23Mo1, Ga16O24H1 及 Ga16O23 的自由能变化过程。(a) 0 V/Å-HER;(b) 0.5 V/Å-HER;(c) 0 V/Å-Ga15O23Mo1 氧电解反应;(d) 0.5 V/Å-Ga15O23Mo1 氧电解反应。
原文链接:
www.sciencedirect.com/science/article/abs/pii/S0022369725008194











































