【会员论文】南方科技大学:通过氧相关缺陷态提升 β-Ga₂O₃ 金属-半导体-金属日盲光电探测器的响应性
日期:2026-03-19阅读:29
由南方科技大学的研究团队在学术期刊 Scientific Reports 发布了一篇名为Boosting the responsivity of β-Ga2O3 metal–semiconductor–metal solar-blind photodetectors through oxygen-related defect states(通过氧相关缺陷态提升 β-Ga2O3 金属-半导体-金属日盲光电探测器的响应性)的文章。
背 景
在 200–280 nm 波段的日盲紫外(SBUV)探测在导弹预警、火焰检测、生化分析及保密通信中具有重要应用。由于地球大气臭氧层的吸收,该波段的背景噪声极低。β-Ga2O3 具有约 4.9 eV 的超宽带隙,其吸收边自然处于日盲区,无需复杂的合金化处理即可实现理想的日盲特性,且具有高热稳定性和化学稳定性。金属-半导体-金属(MSM)结构的光电探测器因其制备简单、响应速度快、电容低以及与集成电路工艺高度兼容而备受关注。尽管 β-Ga2O3 探测器显示出优异的特性,但许多器件的本征响应度较低。虽然可以通过引入光电导增益来提升响应度,但这种增益往往与材料内部的缺陷态密切相关。如何科学地利用和调控这些缺陷态来增强器件性能,同时兼顾响应速度,是当前研究的热点。
主要内容
实现高响应度对于推动日盲光探测器(SBPD)在无线通信和火灾预警系统等领域的应用至关重要。本研究基于蓝宝石衬底,通过金属有机化学气相沉积技术在不同温度下生长 β-Ga2O3 外延薄膜,对金属-半导体-金属结构的 SBPD 进行了系统探究。结构与光谱分析表明,生长温度可调控 β-Ga2O3 薄膜中的氧相关缺陷态,这些缺陷态通过缺陷辅助光激发过程与响应度变化相关联。值得注意的是,采用 900 ℃ 生长 Ga2O3 薄膜制备的 SBPD 展现出 4.2⋅104 A/W 的响应度、1.2⋅1013 Jones 的探测率以及 2.1⋅107 % 的卓越外部量子效率。这些发现凸显了氧相关缺陷态在优化 β-Ga2O3 基 SBPD 光响应性能中的关键作用。
创新点
● 阐明了氧相关缺陷态在提升响应度中的核心作用。通过这些缺陷态对光生空穴的捕获,延长了电子的寿命,从而实现了极高的光电导增益。
● 通过精确控制 β-Ga2O3 薄膜中的缺陷浓度,该研究成功将 MSM 探测器的响应度提升到了数千 A/W 的水平,远高于普通的商业化探测器。
● 提出了一种通过优化薄膜生长工艺及后续热处理来调控氧空位分布的策略。研究对比了不同气氛下退火对缺陷能级的影响,发现特定浓度的氧相关缺陷可以在不严重损害响应速度的前提下,最大限度地增强光电流。
● 在极低的外加偏压下,器件展现出了极高的检测限和优异的抗噪性能,证明了缺陷工程在开发超灵敏日盲探测器中的实际价值。
总 结
基于不同温度下生长的 β-Ga2O3 外延层制备了 SBPD 器件并进行了表征。采用 900 ºC 生长 β-Ga2O3 外延层的优化器件,在 64 µW/cm2 功率密度下,于 254 nm 光照下展现出 4.2×104 A/W 的高电阻率、2.1×107 % 的高量子效率以及 1.2×1013 Jones 的高损耗。通过 XRD 和 XPS 等综合结构与成分分析发现,β-Ga2O3 外延层中的缺陷相关态浓度随生长温度升高而增加。这些缺陷态作为光电离中心,可提供额外载流子从而提升器件响应度。研究结果表明,生长温度可作为 β-Ga2O3 中缺陷相关态的调控参数,从而影响其电学特性与紫外光探测性能。本研究证实缺陷相关态在决定日盲光探测器的响应度与响应动态特性中起关键作用,为未来器件优化提供了重要指导。
项目支持
本研究得到中国国家重点研发计划(2022YFA1405200)、深圳市科技计划项目(JCY20240813100810014)、 山东省自然科学基金(ZR2025ZD32、ZR2022ZD05)、山东大学公共技术平台仪器改进基金(ts20230207)以及深圳市深亚波长光子学重点实验室(ZDSYS20220527171201003)资助。

图1. (a) 不同温度下生长的 β-Ga2O3 外延层的 XRD 图谱;(b) (-201) 峰全宽半高值随生长温度的变化。

图2. 在 (a) 700 ºC、(b) 800 ºC 和 (c) 900 ºC 温度下生长的 β-Ga2O3 外延层的 O 1s XPS 光电子能谱;(d)氧相关缺陷比值 (OII/(OI + OII)) 随生长温度的变化曲线。

图3. (a-c) 不同温度下生长的 β-Ga2O3 外延层的价带谱,以及 (d-f) O1s 能量损失谱。

图4. 分别在 (a) 700 ℃、(b) 800 ℃ 和 (c) 900 ℃ 生长外延层制备的 SBPD 器件的 I-V 曲线;(d) 暗电流与光电流对生长温度的依赖关系。

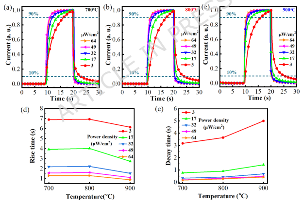
图5. 由 β-Ga2O3 外延层制备的 SBPD 器件的归一化时间依赖性光响应曲线:(a)700 ℃ 生长;(b)800 ℃ 生长;(c)900 ℃ 生长;(d, e)上升时间与衰减时间对生长温度和光功率密度的依赖关系。

图6. 100 V 偏压下 β-Ga2O3 表面电荷极化二极管的关键性能参数:(a) 极化电流密度比,(b) 电阻,(c) 量子效率,(d) 损耗因子。
DOI:
doi.org/10.1038/s41598-026-40487-6

















