【国际论文】KAUST开发出首个基于氧化镓的可高性能运行的半导体自由空间栅极晶体管
日期:2025-10-15阅读:367
本文介绍了一种新型的横向半导体-自由空间栅极晶体管(SFGT),该晶体管用半导体-自由空间栅极配置取代了传统的固体介质,具有亚100纳米的鳍通道和双侧栅极。这是首次在宽带隙和超宽带隙半导体中实现自由空间栅极性能,其性能与氧化物栅极晶体管相当。使用β-Ga₂O₃制备的SFGT展现出低于200 mV/dec的亚阈值斜率、超过250 mA/mm的高漏极电流、小于230 mV的滞后、超过10⁶的ION/IOFF比以及超过500 V的击穿电压。自由空间栅极结构不仅提供了对栅极区域的直接访问,便于外部电场调制和阈值电压调节,还减少了传统介质中电荷和陷阱态的不利影响。这些结果表明SFGT在未来的存储器、传感器和功率应用中具有潜力。
背景
场效应晶体管(FET)是现代技术的基本组成部分,广泛应用于微处理器、存储模块和传感器等设备中。传统的金属氧化物半导体(MOS)FET通过在氧化物介质中生成电场来调节半导体通道的导电性。然而,介质中的电荷和陷阱态会对器件性能产生不利影响,尤其是在极端环境下,如高辐射或高温。近年来,随着对电子设备需求的增加,新型器件架构和材料不断涌现,以满足高压、高频和逻辑应用的需求。
主要内容
本文提出了一种新型的横向晶体管架构——半导体-自由空间栅极晶体管(SFGT)。该器件采用亚100纳米的鳍通道和双侧栅极,取代了传统的固体介质,实现了与氧化物栅极晶体管相当的性能。SFGT的核心优势在于其自由空间栅极结构,这种结构不仅提供了对栅极区域的直接访问,便于外部电场调制和阈值电压调节,还减少了传统介质中电荷和陷阱态的不利影响。通过使用β-Ga₂O₃作为半导体材料,SFGT展现出优异的电学性能,包括低亚阈值斜率、高漏极电流、低滞后和高击穿电压。此外,通过原子层刻蚀(ALE)技术,研究团队成功减少了界面陷阱态,进一步提升了器件性能。
实验细节概括
实验中,研究团队首先在商业可用的半绝缘Fe掺杂β-Ga₂O₃(010)衬底上,通过脉冲激光沉积(PLD)技术生长了150纳米的Si掺杂(载流子浓度约5×10¹⁸ cm⁻³)β-Ga₂O₃和200纳米的非故意掺杂(UID)β-Ga₂O₃薄膜。通过电子束光刻和光刻技术,结合干法刻蚀,制备了具有约100纳米沟槽宽度、1微米通道长度和低于100纳米鳍宽度的结构。为了减少接触电阻,研究团队在源漏(SD)区域选择性生长了n+Ga₂O₃,并通过光刻技术定义了两个侧栅极和SD欧姆接触。通过ALE技术,研究团队去除了约9纳米的Ga₂O₃,以增强表面质量。
创新点
1.自由空间栅极结构:首次在宽带隙和超宽带隙半导体中实现自由空间栅极性能,其性能与氧化物栅极晶体管相当。
2.亚100纳米鳍通道和双侧栅极:提供了更强的电静控制能力,显著提升了器件性能。
3.低界面陷阱态:通过原子层刻蚀(ALE)技术,成功减少了界面陷阱态,提升了器件的稳定性和性能。
4.外部电场调制和阈值电压调节:自由空间栅极结构提供了对栅极区域的直接访问,便于外部电场调制和阈值电压调节。
结论
本文介绍的SFGT通过其独特的自由空间栅极结构,成功克服了传统MOSFET中电荷和陷阱态的不利影响,展现出与氧化物栅极晶体管相当的性能。这种新型晶体管不仅在存储器、传感器和功率应用中具有潜力,还为未来电子器件的设计和制造提供了新的思路。

图1. (a)半浮栅晶体管(SFGT)的俯视扫描电镜图像,(b)器件沟道横截面三维示意图,(c)沟道关闭状态(VG < VTH)和(d)沟道开启状态(VG > VTH)下的能带结构图。

图2. (a)β-Ga2O3 SFGT在空气中测量的双扫描半对数转移特性曲线和(b)输出特性曲线。

图3. 沟道宽度约65 nm的β-Ga2O3 SFGT器件的击穿特性曲线。

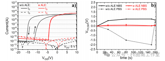
图4. (a)沟道宽度约90 nm的β-Ga2O3 SFGT器件的双扫描半对数转移特性曲线,(b)沟道宽度约65 nm器件在负偏压应力(NBS, -20V)和正偏压应力(PBS, 20V)下的VTH,SH变化情况,所有测量均在空气中进行。

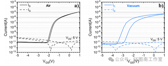
图5. 沟道宽度约90 nm的β-Ga2O3 SFGT器件在(a)空气和(b)390 mTorr真空压力下测量的双扫描半对数转移特性曲线。
doi.org/10.1021/acs.nanolett.5c03880

