【国际论文】AFM发表!IKZ联合奥斯陆大学:α-和β-Ga₂O₃中自陷空穴迁移与缺陷介导的发光热淬灭
日期:2025-10-16阅读:430
由德国莱布尼茨研究所联合挪威奥斯陆大学组成的研究团队在学术期刊 Advanced Functional Materials 发布了一篇名为 Self-Trapped Hole Migration and Defect-Mediated Thermal Quenching of Luminescence in α- and β-Ga2O3(α- 和 β-Ga2O3 中自陷空穴迁移与缺陷介导的发光热淬灭)的文章。
期刊介绍
Advanced Functional Materials 是著名的 Advanced portfolio 和顶级材料科学期刊的一部分,发表与改善材料的化学和物理性能有关的杰出研究。 作为顶级的材料科学期刊,Advanced Functional Materials 每周都会报道材料科学各个方面的突破性研究,包括纳米技术、化学、物理和生物学。
通过覆盖广泛的范围,并在材料科学的各个方面提供突破性的研究,Advanced Functional Materials 的读者范围包含材料科学家,化学家,物理学家和工程师,生物学家和医学研究人员等。
背 景
氧化镓(Ga2O3)是一种前景广阔的超宽禁带半导体,在下一代电力电子和光电器件领域备受关注。在 Ga2O3 材料中,光致发光光谱是研究其内部载流子复合机制和缺陷状态的重要工具。Ga2O3 的价带通常很平坦,这有利于形成一种称为自陷空穴的局域化载流子状态。 STH 的复合通常被认为是产生紫外发光的原因,而材料中的缺陷则与蓝光发射有关。一个普遍观察到的现象是热猝灭,即随着温度升高,发光强度会减弱。 特别是在 Ga2O3 中,通常低温下紫外发光占主导,而在室温下蓝光发射更强,这背后复杂的物理机制,尤其是自陷空穴的迁移与缺陷俘获之间的相互作用,尚未被完全阐明。
主要内容
氧化镓(Ga2O3)是一种极具前景的超宽带隙半导体材料,适用于下一代电力电子器件和光电子器件。本文通过温度依赖性与极化分辨的荧光激发光谱数据,结合混合泛函第一性原理计算,提出微观模型阐释了 α- 和 β-Ga2O3 中热淬灭现象背后的空穴迁移、缺陷捕获与载流子复合的相互作用机制。在 α-Ga2O3 中,紫外发光归因于自陷空穴,而蓝光发光则源于缺陷相关过程,包括镓分裂空位及其缺陷复合体。计算揭示 α-Ga2O3 中自陷空穴迁移存在 88 meV 的能量势垒,与温度依赖性光致发光测得的活化能一致。该机制使缺陷能高效捕获空穴,从而增强蓝光发光并淬灭紫外发光。在 β-Ga2O3 中,0.36 eV 的更高迁移能垒削弱了缺陷捕获作用,使得紫外自困空穴发光保持强劲,蓝光发光仅在高温下出现。这些结果确立了自困空穴迁移、缺陷捕获与两种晶相发光热淬灭之间的直接关联。这些发现深化了对超宽带隙氧化物中载流子动力学的认识,有望为高性能功能器件的缺陷工程设计提供指导。
创新点
• 首次提出了一个可以统一解释 α 和 β 两种晶相 Ga2O3 中发光热猝灭现象的微观物理模型,即缺陷介导的自陷空穴迁移模型。
• 通过第一性原理计算,首次定量给出了 α-Ga2O3 和 β-Ga2O3 中自陷空穴的迁移能垒,并发现其与实验中观察到的热猝灭激活能高度吻合。
• 将先进的光谱学实验与复杂的理论计算相结合,为发光谱的归属和动态变化过程提供了坚实的证据。
• 明确指出两种晶相 Ga2O3 发光热稳定性差异的根本原因在于其自陷空穴迁移势垒的不同。
结 论
通过极化依赖性光致发光激发光谱技术,结合混合泛函第一性原理计算,深入探究了高品质 α-Ga2O3 薄膜与单斜 β-Ga2O3 单晶的温度依赖性发光机制。研究表明,两种材料的紫外发光均源于自陷空穴复合。蓝色发光则与缺陷相关过程相关,包括镓分裂空位及其复合物等深能级缺陷。我们还发现激发能对发光行为具有决定性影响:当激发能高于带隙时,紫外发光会得到选择性增强; 相反,亚带隙激发则优先通过缺陷辅助通道激活蓝光发光。该观测揭示了 Ga2O3 的光学响应如何同时依赖于本征与外延态,并证明了通过调节激发能实现发光特性调控的可能性。
本研究的关键突破在于确认自陷空穴迁移是导致温度依赖性发光行为的微观机制。实验与理论联合研究表明:在 α-Ga2O3 薄膜中,自陷空穴的迁移势垒仅为 88 meV,即使在低温下也能实现高效跃迁与缺陷捕获。该过程导致紫外发光快速淬灭并增强蓝光发光,从而解释了实验观测到的负热淬灭现象。在 β-Ga2O3 单晶中,迁移势垒值升至 0.36 eV。这使得自陷空穴相关发光具有更高的热稳定性,并延迟了缺陷辅助复合的起始时间。这些发现阐明了载流子局域化、迁移与缺陷捕获之间的相互作用机制,建立了 Ga2O3 微观极化子动力学与宏观光学性质的直接联系。
对激发依赖型自陷空穴动力学及其对发光淬灭影响的深入理解,拓展了超宽带隙氧化物中复合过程的基础认知。本研究成果为缺陷工程及 Ga2O3 基光电子器件设计提供了重要指导,相关理论概念亦可广泛应用于其他宽带隙氧化物半导体领域。

图1. α-Ga2O3 三方刚玉晶体结构的常规单元胞示意图,显示 m 面(橙色)以及 Ga 位点(八面体)和 O 位点(四面体)的局部对称性。晶格参数和键长如图所示。

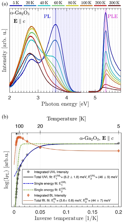
图2.T=5 K 时 α-Ga2O3在 E∥c 极化条件下的发光(左)与激发光谱(右)。发光谱显示三种不同激发能: (ii) 5.32 eV(蓝色)和 (iii) 5.17 eV(黄色),分别对应:(i) 紫外激光(UVL)在 3.62 eV 处的最大激发能,(ii) 边带激光(BL)在 2.78 eV 处的最大激发能,以及 (iii) 发光的亚带隙激发。紫外线激发荧光(UVL-PLE)的发射能量为(3.62 ± 0.10) eV,蓝光激发荧光(BL-PLE)的发射能量为(2.78 ± 0.10) eV。紫外线发射峰与激发峰之间存在 1.75 eV 的斯托克斯位移。蓝光激发荧光揭示了蓝光带的高效亚带隙激发特性。

图3.a) 5 至 300 K 温度范围内 PL 与 UVL-PLE 光谱的温度依赖性。阴影区域标示用于生成 PL(洋红色阴影)的积分范围(激发能为 (5.37 ± 0.07) eV)及UVL-PLE(蓝色阴影)的积分范围(发射能为 (4.0 ± 0.5) eV)。b) 温度依赖性光致发光积分强度及热淬灭(TQ)模型。蓝光发光(BL)的负热淬灭(NTQ)与紫外光致发光(UVL)在 100 K 以下的热淬灭现象,均由激活能 E1BL 和 E1UVL 描述,两者量级均为 5 meV。

图4.β-Ga2O3 在 b 轴方向平行极化时的 PL 和 PLE 光谱:a) 5 K 条件下;b) 随温度变化的曲线。在 5.0 ± 0.1 eV 激发能下测得宽带 PL 信号,通过三个高斯函数拟合,峰值位置分别为 2.74、3.17和3.47 eV。整体拟合曲线以红色虚线表示,与实际 PL 信号吻合良好。紫外激发光致发光(UVL-PLE)在 5 eV 带隙能量处呈现峰值,而蓝光激发光致发光(BL-PLE)则出现轻微红移并伴随亚带隙信号增强。随温度升高,BL 带强度增大,而两种 STH 带均发生淬灭。

图5.a) 自陷空穴、分裂VisGa、VisGa Sn复合物及常规 VGa 的松弛结构。空穴以蓝色等值面表示,对应最大电荷密度的 5%。b) 孤立空穴极子与缺陷束缚空穴极子(VisGa、VisGa Sn、VGa)在碳基底(CBM)处与自由电子复合引发的光跃迁配置坐标图。c) 对应光跃迁的发光谱线。所有理论曲线均系统性上移 0.27 eV 以使 STH 带与 UVL 带对齐。

图6.α-Ga2O3 中 STH 在相邻氧位点间跃迁的迁移障碍。结构表明,过渡态对应于空穴在两个氧离子间均等共享的构型。
DOI:
doi.org/10.1002/adfm.202517876











