【国内论文】中国人民解放军国防科技大学:火焰法制备 Cr³⁺ 掺杂 Ga₂O₃ 纳米颗粒用于低温温度测量与近红外 LED
日期:2025-11-17阅读:330
由中国人民解放军国防科技大学的研究团队在学术期刊 ACS Applied Materials & Interfaces 发布了一篇名为 Flame-Made Cr3+-Doped Ga2O3 Nanoparticles Toward Cryogenic Thermometry and Near-Infrared LEDs(火焰法制备 Cr3+ 掺杂 Ga2O3 纳米颗粒用于低温温度测量与近红外 LED)的文章。
项目支持
本工作得到“湖湘青年科技人才计划”(资助编号 2021RC3074)的资助。
背 景
氧化镓(Ga2O3)作为新型超宽禁带半导体,具有高热稳定性和高击穿电场,适用于功率电子器件和日盲光电探测等领域。通过掺杂 Cr3+ 离子,可实现宽带近红外发光并用于高灵敏度温度测量,但现有纳米颗粒制备方法存在效率低、粒径大和难以调控等问题。火焰喷雾热解法(FSP)提供了高温快速合成高纯均匀纳米颗粒的优势,但 Cr3+ 掺杂 Ga2O3 NPs 尚未报道。本研究利用 FSP 制备 Cr3+ 掺杂 Ga2O3 NPs,并通过高温退火显著增强其发光性能,实现温度传感及近红外照明应用。
主要内容
作为一种新兴的超宽禁带半导体,氧化镓(Ga2O3)纳米颗粒(NPs)因其高热稳定性和化学稳定性而在多个领域受到广泛关注。传统的 Ga2O3 纳米颗粒合成方法,如高温固相反应和水热法,存在工艺复杂、规模化生产受限以及颗粒尺寸较大的问题。本研究开发了一种简便方法,通过火焰喷雾热解法合成纯相纳米尺寸的 Ga2O3 纳米颗粒,并辅以退火处理。通过掺杂三价铬离子(Cr3+),纳米颗粒实现了强烈的近红外(NIR)发光,尤其是与 4T2 → 4A2 和 2E → 4A2 跃迁相关的 R 线。这些 R 线对低温敏感,因为其能量间隔相对较小。所合成的 Ga2O3 纳米颗粒在 83–213 K 温度范围内展现出优异的比率式热敏性能,在 83 K 时基于荧光温度计的玻尔兹曼分布实现了最大相对灵敏度 3.35% K-1。此外,通过使用 Cr3+ 掺杂 Ga2O3 纳米颗粒并以蓝光 LED 芯片激发,制备了高效的近红外荧光转换 LED(pc-LED)器件,并将其应用于夜视照明和防伪检测。
结 论
研究团队成功利用火焰喷雾热解(FSP)法合成了掺铬(Cr3+)的氧化镓(Ga2O3:Cr3+)纳米颗粒,并通过高温退火显著增强了其近红外(NIR)性能。通过对退火前后的透射电子显微镜(TEM)、X 射线衍射(XRD)和光致发光激发(PLE)结果进行对比分析,系统探讨了性能提升的机理。随后,研究对低温下 Ga2O3:Cr3+ 纳米颗粒的光学性能进行了表征,结果显示在低温下 2E → 4A2 跃迁的 R 线发射强度显著增强。源自能级分裂的 R1 和 R2 发射线表现出明显的温度依赖性,并遵循玻尔兹曼分布规律。这一特性使其能够基于荧光强度比(FIR)实现温度感测,在 83 K 时获得高相对灵敏度(Sr)3.35% K-1,显示出 Ga2O3:Cr3+ 纳米颗粒在低温下的优异感测能力。此外,这些 Ga2O3:Cr3+ 纳米颗粒被集成到商业 450 nm LED 中制备成近红外荧光转换 LED(NIR pc-LED),表现出高性能的近红外发光效果,并在夜视照明和防伪应用中展现出出色性能。

图 1. Ga2O3:Cr3+ 纳米颗粒的火焰喷雾热解(FSP)合成过程示意图。

图 2. 不同 Cr3+ 掺杂浓度的 Ga2O3 纳米颗粒的光致发光(PL)光谱:(a) 退火前;(b) 退火后;(c) 退火后 R1 和 R2 发光强度;(d) 退火后 R2/R1 强度比。

图 3. Ga2O3:0.5 mol% Cr3+ 纳米颗粒的透射电子显微镜(TEM)图像:(a) 退火前;(b) 退火后。不同 Cr3+ 掺杂浓度的 Ga2O3 纳米颗粒 X 射线衍射(XRD)图谱:(c) 退火前;(d) 退火后。

图 4. Ga2O3:0.5 mol% Cr3+ 纳米颗粒的光致发光 (PL) 光谱:(a) 光谱随温度变化;(b) 归一化 PL 光谱随温度变化;(c) 详细 PL 映射;(d) 在 83−298 K 温度范围内的 PL 光谱。

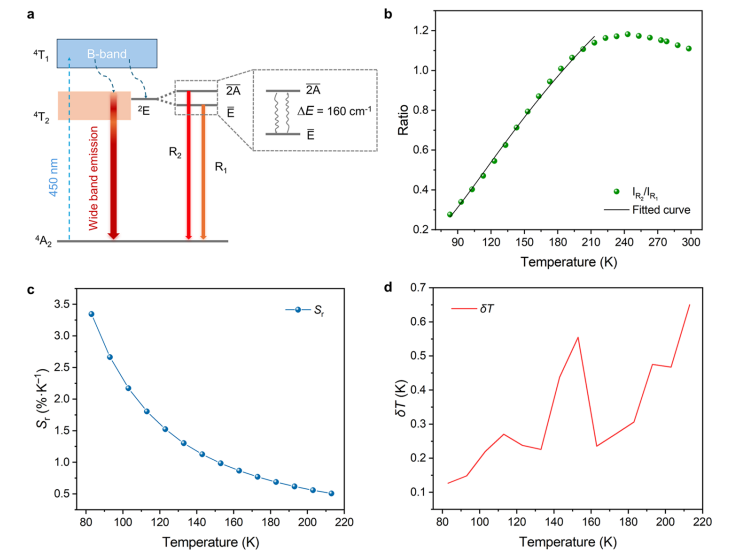
图 5. (a) Cr3+ 离子简化能级图;(b) Ga2O3:0.5 mol% Cr3+ 纳米颗粒 R2/R1 强度比及其随温度拟合结果;(c) 随温度变化的相对灵敏度 Sr;(d) 随温度变化的温度分辨率 δT。

图 6. (a) NIR pc-LED 器件驱动电流与发射光谱的关系;(b) 在 (I) 自然光、(II) 熄灯、(III) NIR pc-LED 照明下拍摄的 “Night Vision” 字样照片,分别由可见光和 NIR 摄像机拍摄;(c) NIR pc-LED 从正面照射,滤光片遮挡的图案,由 (I) 可见光和 (II) NIR 摄像机拍摄;(d) 同样图案从背面照射,由 (I) 可见光和 (II) NIR 摄像机拍摄;(e) 分别由可见光和近红外相机拍摄的放置在由薄滤光膜组成的盒子里的LED芯片的照片。
DOI:
doi.org/10.1021/acsami.5c16890










