【国际论文】韩国世宗大学:P型LiᵧNi₁₋ₓ₋ᵧMgₓO:一种在氧化镓功率器件应用中具有潜力的超宽禁带半导体
日期:2025-11-23阅读:322
由韩国世宗大学的研究团队在学术期刊 Journal of Magnesium and Alloys 发布了一篇名为 P-type LiyNi1-x-yMgxO: A promising ultrawide bandgap semiconductor for Ga2O3 power devices applications(P型 LiyNi1-x-yMgxO:一种在氧化镓功率器件应用中具有潜力的超宽禁带半导体)的文章。
背 景
超宽带隙(UWBG)半导体因其高击穿电压、优异热稳定性和高能效,成为下一代功率器件的理想候选材料。β-氧化镓(β-Ga2O3)作为 n 型 UWBG 半导体,带隙约 4.9 eV,具有高临界电场和可调 n 型掺杂能力,并可获得大尺寸高质量衬底,显示出在高功率开关电子器件中的潜力。然而,β-Ga2O3 缺乏稳定的 p 型导电性,限制了互补器件的发展。为解决这一问题,研究者尝试了多种 p 型半导体与 β-Ga2O3 构建 P-N 结,包括 CuAlO2、CuGaO2 和 NiO 等,但存在空穴浓度低、迁移率差或开启电压高的问题。Ni1-xMgxO 及其 Li 掺杂化合物(LiyNi1-x-yMgxO)具有可调带隙(3.5–7 eV)、空穴浓度和迁移率,并可与 β-Ga2O3 实现能带匹配,同时兼具低开启电压和高击穿电压,显示出在高性能 β-Ga2O3 功率器件中的应用潜力。因此,开发可控掺杂的 LiyNi1-x-yMgxO 作为 p 型超宽带隙半导体,为实现高效率、高击穿电压且低功耗的 β-Ga2O3 基功率器件提供了可行路径。
主要内容
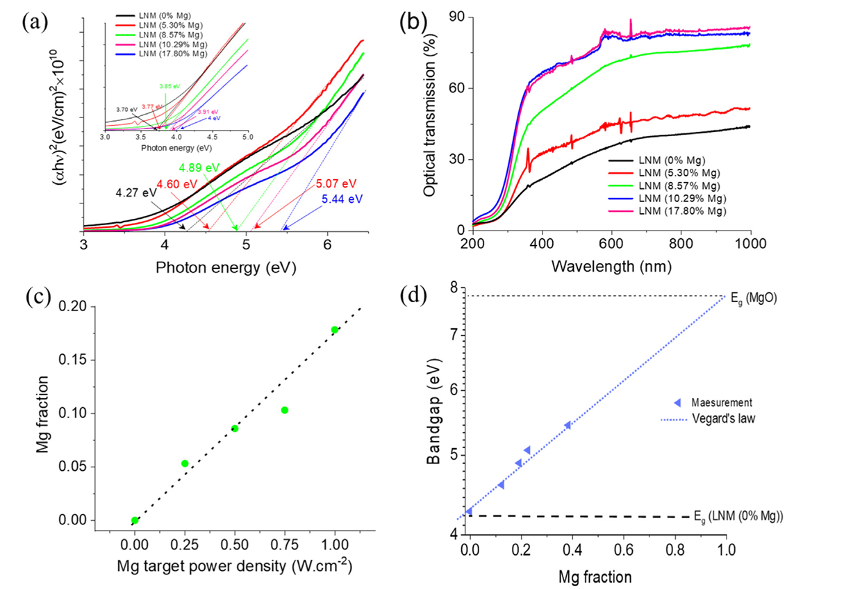
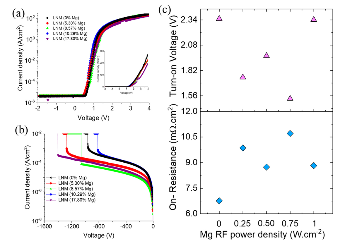
超宽带隙(UWBG)半导体对于下一代功率电子器件至关重要,相较于传统材料,它们具有更高的击穿电压、热稳定性和能效。然而,高效 p 型超宽带隙半导体的缺失一直是主要瓶颈,限制了互补器件的发展。本研究探索了 LiyNi1-x-yMgxO 作为潜在的 p 型超宽带隙半导体,通过共溅射技术精确控制 Mg 含量,方法是调节 Mg 靶的功率密度。X 射线衍射(XRD)结果显示,随着 Mg 含量增加,(200) 和 (111) 衍射峰增强,表明 Mg 成功掺入 NiO 晶格。X 射线光电子能谱(XPS)进一步验证了 Mg 对 Ni 的置换。随着 Mg 靶功率密度从 0 增加到 1 W·cm-2,光学带隙从 4.27 eV 扩展至 5.44 eV,同时光学透过率也得到改善。霍尔效应测量显示,随着 Mg 含量增加,空穴浓度下降,而空穴迁移率显著提高,在 17.80% Mg 掺杂时达到 33.39 cm2V-1s-1。尽管高 Mg 含量会增加与 n 型 β-Ga2O3 的能带对齐,但与 Li 掺杂 NiO/β-Ga2O3 异质结二极管相比,17.80% Mg 掺杂薄膜表现出开启电压降低及高达 -1450 V 的击穿电压(BV)。Silvaco TCAD 仿真表明,这些变化可能源于 Mg 引入的能级促进的陷阱辅助隧穿效应,从而降低了开启电压。LiyNi1-x-yMgxO 薄膜优异的电学和光学特性,以及其与 β-Ga2O3异质结器件的成功集成,表明该材料是未来超宽带隙功率器件中 p 型材料的有前景候选,尤其适用于与 n 型 β-Ga2O3 及其他超宽带隙半导体结合的应用。
亮 点
● 成功制备了可用于功率器件集成的超宽禁带 p 型 LiyNi1-x-yMgxO 薄膜。
● 通过调节 LiyNi1-x-yMgxO 中的 Mg 含量,实现了光学带隙从 4.27 eV 到 5.44 eV 的可调。
● 当 Mg 含量为 17.80% 时,获得了 33.39 cm2·V-1·s-1 的高空穴迁移率。
● 成功构建了 LiyNi1-x-yMgxO/β-Ga2O3 异质结,其界面清洁且界面结构清晰。
● 在 LiyNi1-x-yMgxO 中采用 17.80% Mg 含量时,异质结二极管实现了约 1450 V 的击穿电压。
● 随着 Mg 含量增加,开启电压降低,从而增强了界面处的载流子注入能力。
结 论
本研究制备并研究了一种新型 p 型超宽禁带半导体 LiyNi1-x-yMgxO,用于 β-Ga2O3 功率器件。薄膜通过调节 Mg 含量共溅射制备,(200) 与 (111) XRD 衍射峰强度随 Mg 增加而增强,XPS 显示 Mg 成功取代 Ni 位。HRTEM 表明界面处为多晶结构并形成过渡层。光学测试显示带隙随 Mg 增加由 4.27 eV 提升至 5.44 eV,透过率增强。霍尔测试表明,空穴浓度随 Mg 增加从 1.72 × 1018 cm-3 降至 1016 cm-3,而迁移率显著提升,从 0.798 cm2V-1s-1 增至 33.39 cm2V-1s-1,DFT 计算显示这是价带离域化增强导致的。XPS 能带对齐显示导带偏移随 Mg 增大而增加,影响开启电压(Von)与击穿电压(BV)。在 5.30% Mg 时,BV = −1280 V,Von = 1.73 V,Ron = 9.86 mΩ·cm2;在 17.80% Mg 时,BV = −1450 V,Von = 2.34 V,Ron = 8.83 mΩ·cm2。Silvaco TCAD 模拟表明,高 Mg 含量下 Von 降低源于 Mg 诱导的陷阱辅助隧穿效应。综上,LiyNi1-x-yMgxO 作为 β-Ga2O3 功率器件的 p 型接触层,兼具高击穿电压、低开启电压与低导通电阻,适合用于下一代高性能功率电子器件。

图 1. 制备器件的示意图。

图 2. (a) p 型 LiyNi1-x-yMgxO 薄膜的 XRD 图谱,(b) 不同 Mg 靶射 RF 功率下的 (200) 晶向,(c) 不同 Mg 靶射 RF 功率下的 (111) 晶向。

图 3. (a) LNM(0% Mg)、(b) LNM(5.30% Mg)、(c) LNM(8.57% Mg)、(d) LNM(10.29% Mg)、(e) LNM(17.80% Mg)的 AFM 图像,以及 (f) 提取的 RMS 表面粗糙度。

图 4. 不同 Mg 靶射 RF 功率下 Li 掺杂 NiO 和 LiyNi1-x-yMgxO 的 XPS 分析数据,(a) XPS 总谱,(b) Ni2p,(c) O1s,(d) Mg2p 与 Li1s,(e) 各 Mg 靶功率下LiyNi1-x-yMgxO 薄膜的 Ni2p 拟合峰,(f) O1s 拟合峰。

图 5. TEM 图像展示了不同 Mg 含量下 LiyNi1-x-yMgxO/ β-Ga2O3 异质结界面:(a) LNM(0% Mg):(a1) 和 (a2) 显示界面层形成;(a3)–(a9) 为逆快速傅里叶变换(IFFT)图像,突出不同晶向;(a10) 显示对应的界面层。(b) LNM(8.57% Mg):(b1) 和 (b2) 展示界面区域;(b3)–(b9) 为不同晶向的 IFFT 图像;(b10) 显示对应的界面层。(c) LNM(17.80% Mg):(c1) 和 (c2) 显示界面区域;(c3)–(c9) 为不同晶向的 IFFT 图像;(c10) 突出界面层结构。

图 6. (a) LiyNi1-x-yMgxO 的光学吸收,显示直接带隙,插图显示间接带隙;(b) 光学透过率;(c) 提取的 Mg 含量随 Mg 靶射 RF 功率密度的变化;(d) LiyNi1-x-yMgxO 直接带隙随 Mg 含量的变化。

图 7. 室温下不同 Mg 靶射 RF 功率密度下 LiyNi1-x-yMgxO 的 (a) 电阻率,(b) 空穴浓度,(c) 空穴迁移率测量结果。

图 8. 不同 Mg 掺杂浓度下 LiyNi1-x-yMgxO 的态密度(DOS)与反参与率(IPR):(a) 0%,(b) 6.25%,(c) 12.5%,(d) 18.75%,(e) 25%,(f) 31.25%。黑色实线表示总态密度,红色实线表示 Li 投影态密度,蓝色柱状表示 Li 的 IPR。正值与负值分别对应自旋向上与自旋向下态。可观察到,随 Mg 浓度增加,价带边附近的 IPR 与 DOS 均明显下降。

图 9. 不同 Mg 含量下 LiyNi1-x-yMgxO/ β-Ga2O3 异质结的能带对齐:(a) LNM(0% Mg),(b) LNM(5.30% Mg),(c) LNM(8.57% Mg),(d) LNM(10.29% Mg),(e) LNM(17.80% Mg),以及 (f) 导带偏移(CBO)和价带偏移(VBO)随 Mg 含量变化的对应关系。

图 10. Mg 含量对 Li 掺杂 Ni1-xMgxO 的影响:(a) 正向电流的对数坐标曲线(插图为线性坐标),(b) 击穿电压,以及 (c)LiyNi1-x-yMgxO/ β-Ga2O3 异质结二极管(HJD)的提取开启电压 (Von) 和导通电阻 (Ron)。
DOI:
doi.org/10.1016/j.jma.2025.10.005



















