【国内论文】JAC丨浙江大学杨德仁院士、张辉教授团队:纳米压痕法研究铸造生长β-Ga₂O₃(100)晶面位错迁移性
日期:2025-12-25阅读:313
由浙江大学杨德仁院士、张辉教授的研究团队在学术期刊 Journal of Alloys and Compounds 发布了一篇名为 Investigation of dislocation mobility on the cast-grown β-Ga2O3:(100) by nanoindentation(纳米压痕法研究铸造生长 β-Ga2O3 (100) 晶面位错迁移性)的文章。
背 景
作为超宽禁带半导体材料,β-Ga2O3 拥有约 4.8 eV 的超宽禁带。其卓越的化学/热稳定性、高击穿场强和低成本的熔体法生长优势,使其在日盲紫外探测、高功率电子器件和能源存储领域备受瞩目。半导体器件的核心在于 p-n 结的构建。目前,β-Ga2O3 的 n 型掺杂已经非常成熟,通过掺杂 Si、Sn、Ge 等 IV 族元素可以轻松实现高导电性。然而,实现有效的 p 型掺杂是该领域最大的难题。β-Ga2O3 的价带顶(VBM)主要由 O 2p 轨道构成。这些轨道局域性很强,导致能带色散平坦。平坦的能带意味着空穴的有效质量极大,导致空穴迁移率极低。传统的 p 型掺杂剂在禁带中形成的受主能级过深。这意味着它们需要巨大的能量才能电离出空穴,导致室温下的空穴浓度极低。产生的空穴容易被晶格畸变捕获形成小极化子,进一步阻碍导电。尝试引入具有高能量 p 轨道的阳离子与 O 2p 轨道杂化,以提升价带顶能量。但这通常会改变材料的晶体结构或大幅降低带隙。利用本征缺陷,但往往不可控且稳定性差。单纯依靠寻找新掺杂剂似乎已遇瓶颈,因此,将掺杂与能带结构调控相结合的协同策略成为突破关键。
主要内容
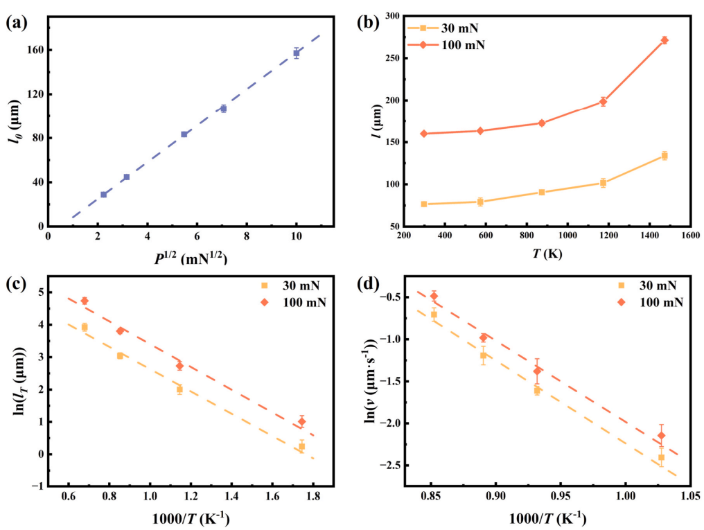
深入理解 β-Ga2O3 中的位错动力学对于优化晶体生长和提升器件性能至关重要。本研究通过纳米压痕、湿化学蚀刻、快速热处理、共聚焦激光扫描显微镜、X 射线形貌分析及透射电子显微镜等技术,系统探究了 (100) 衬底在室温及高温条件下的位错迁移率。结果表明位错沿 <010>/{001} 滑移系传播,激活能为 0.801 eV。值得注意的是,揭示 β-Ga2O3 位错具有室温迁移能力,其滑移长度与施加峰值载荷密切相关。此外,本研究为位错动力学提供了实验依据,并建立了预测不同载荷与退火温度下位错运动的定量模型。这些发现为工程化缺陷控制表面提供了重要指导,有助于实现高性能 β-Ga2O3 基功率电子器件。
研究亮点
● β-Ga2O3 位错滑移可视化:本研究通过 β-Ga2O3 的湿化学蚀刻技术实现了位错滑移路径的可视化,从而简化了研究方法并提高了效率。
● β-Ga2O3 位错动力学的全面理解: 本文研究了室温及高温下 (100) 取向样品中的位错迁移率,为位错动力学提供了实验依据,并给出了可靠的位错滑移预测公式。
● 技术意义:该成果为 β-Ga2O3 力学性能研究开辟了新途径,即通过位错滑移能力理解晶体的力学特性。
总 结
综上所述,已开发出一种高效方法来评估位错滑移长度的载荷与温度依赖性。通过纳米压痕试验在 β-Ga2O3:(100) 晶面上诱导出位错玫瑰花结。透射电子显微镜表征揭示位错沿 <010>/{001} 滑移系在 [010] 方向传播,X 射线透射测量进一步证实了该结论。通过荧光共聚焦扫描显微镜结合化学蚀刻技术,估算了不同载荷与温度条件下位错速度及位错迁移活化能。最终通过 RTP 实验精确测得 β-Ga2O3 位错激活能为 0.801 eV,该值与 GaN 和 ZnO 相当,但显著低于硅、4H-SiC 和 ZrO2,与实验观测结果一致。这些发现为位错动力学提供了宝贵见解,可能有助于预测晶圆加工或器件制造过程中载荷对 β-Ga2O3 中位错生成与倍增的影响。
项目支持
本研究得到了中国国家重点研发计划(2024YFE0205300)、浙江省“尖兵”“领雁”研发计划(2023C01193)、国家自然科学基金(22205203)、浙江省自然科学基金(LZ25E070001)、国家高层次人才支持计划以及杭州市领军型创新和创业团队引进计划(TD2022012)的支持。

图1. (a) 峰值载荷为 5 mN 的 P-h 曲线,(b) 随位移变化的杨氏模量(E),以及 (c) 随位移变化的硬度(H)。

图 2. (a-i)在(100)晶面上施加 5 mN 峰值载荷的压痕的扫描电子显微镜(SEM)图像,白色矩形表示通过聚焦离子束(FIB)方法提取透射电子显微镜(TEM)薄片的位置。(a-ii)压头下方横截面薄片的扫描透射电子显微镜(STEM)图像。(b-i)在 g = 020 反射下拍摄的明场(BF)和(b-ii)暗场(DF)TEM 图像,(c-i)在 g = 220 反射下拍摄的明场(BF)和(c-ii)暗场(DF)TEM 图像,以及(d-i)在 g = 200 反射下拍摄的明场(BF)和(d-ii)暗场(DF)TEM 图像,这些图像对应于(a-ii)中红色方框标记的区域。

图3. 不同峰值载荷下压痕诱导的位错玫瑰花结的共聚焦激光扫描显微镜图像:(a) 5 mN,(b) 10 mN,(c) 30 mN,(d) 50 mN,(e) 100 mN。图 (f) 为图 (e) 中典型玫瑰花结的三维图像。

图4. 同一区域在 (a) g = 821、(b) g = 910、(c) g = 800及 (d) g = 10 0-3 反射面处拍摄的 XRT 图像。(e) 峰值载荷为 100 mN 的压痕所致典型凹陷的 SEM 图像。(f) 压痕诱导位错示意图。

图5. (a) 实验测得的 l0 与 P1/2 随温度变化关系(数据点)及拟合曲线。(b) 在 573、873、1173 和 1473 K 下充分退火处理的位错玫瑰花结长度,峰值载荷分别为 30 和 100 mN。(c) lT 随温度变化关系及拟合曲线。(d) 位错速度随温度变化关系及拟合曲线。
DOI:
doi.org/10.1016/j.jallcom.2025.185317








