【会员论文】日本NCT联合香港科技大学:在超过20MPa准单轴压力下的1200V/10A压接式氧化镓肖特基势垒二极管
日期:2025-12-31阅读:222
由日本NCT仓又朗人、佐佐木公平技术团队联合香港科技大学黄文海教授研究团队在学术期刊 IEEE Electron Device Letters 发布了一篇名为1200 V / 10 A press-pack gallium oxide Schottky barrier diode under a quasi-uniaxial pressure of more than 20 MPa(在超过20MPa准单轴压力下的1200V/10A压接式氧化镓肖特基势垒二极管)的文章。
背 景
超宽禁带半导体氧化镓(β-Ga2O3)其带隙约为 4.8 eV,在多千伏级单极型器件中具有巨大的理论潜力。预计临界击穿场强可达 8 MV/cm,是碳化硅和氮化镓的 2 到 3 倍。这意味着可以使用更薄且掺杂浓度更高的漂移层,从而在相同耐压下获得更低导通电阻。与 SiC 和 GaN 不同,Ga2O3 可以通过溶液法生长大面积、高质量的单晶衬底,这显著降低了制造高性能电力电子器件的成本。由于这些特性,β-Ga2O3 被视为电力传输系统、电气化运输和脉冲功率技术中极具竞争力的候选材料。在高压输电系统中,压接式封装因其高电流承载能力、可扩展的绝缘设计、优异的机械稳定性和强大的短路耐受力而备受青睐。尽管 β-Ga2O3 的电学和热学性能已取得显著进展,但其机械性能面临巨大挑战:该材料沿着键合较弱的 (100) 面极易发生解理。此前,学术界对于 β-Ga2O3 器件是否能承受压接式封装所需的高压力几乎没有研究。
主要内容
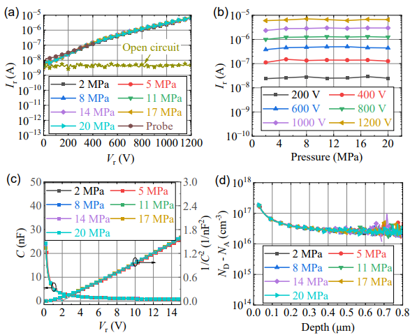
β-Ga2O3 因其高临界电场强度及易获取优质本征衬底的特性,成为高压电力电子领域的有力候选材料。尽管 β-Ga2O3 器件的电学与热学性能已取得快速进展,但其对器件封装提出的机械挑战尚未得到充分解决——尤其在高压大容量功率器件中广泛采用的压封封装领域。本文首次验证了 β-Ga2O3 压封功率器件的可行性:在 200 μm 厚衬底上施加超过 20 MPa 的准单轴压力,成功实现 1200V β-Ga2O3 反向偏置二极管(SBD)芯片封装。在 2 MPa 至 20 MPa 的压力范围内,压制后 β-Ga2O3 SBD 的反向漏电流保持稳定,表明未产生可能导致电气性能退化的机械损伤或缺陷。电容-电压测试结果表明,肖特基势垒高度在测试压力范围内不受准单轴压力的影响。较高压力可降低接触电阻和结-壳热阻,这两者都有利于提高压封 β-Ga2O3 SBD 的功率容量。在最大 20 MPa 的夹紧压力下,直流 10 A 电流条件下稳态结温升不超过 150 K,对应散热功率超过 27 W,由此测得结-壳热阻低于 5 K/W。
创新点
•首次关于 β-Ga2O3 功率器件能够承受压接式封装所需高压力的报道。
•实验证明,在 2 MPa 到 20 MPa 的压力范围内,器件的反向漏电流保持稳定,且肖特基势垒高度未受影响,表明高压未造成机械损伤或引入电学缺陷。
•发现更高的夹紧压力有助于降低接触电阻和壳温热阻,直接提升了器件的功率承载能力。
结 论
本文首次验证了压装封装技术提升 β-Ga2O3 功率器件功率容量的可行性。实验证明,在超过 20 MPa 的准单轴压力下,厚度为 200 μm 的 1200 V 压装封装 β-Ga2O3 反向偏置二极管(SBD)能够稳定工作,且未出现机械损伤或电气性能退化。高压封装工艺使器件在直流 10 A 条件下实现低于 5 K/W 的结-壳热阻,有效清除器件热量,在超过 27 W 的加热功率下仍能将结温升控制在 150 K 以内。这些实验成果为压封 β-Ga2O3 器件向实际高功率应用方向发展奠定了基础。

图1. 压制封装 β-Ga2O3 反向偏置二极管示意图及实验装置。(a)压制封装 β-Ga2O3 SBD 结构设计。(b)β-Ga2O3 SBD 芯片横截面。(c) β-Ga2O3 SBD 芯片阳极侧视图。(d) 配备双面散热器/加热器的定制压制封装实验装置实景图。

图2. 不同压力下压制填充 β-Ga2O3 反向偏置二极管的 Ir–Vr 和 C–V 特性曲线。(a) Ir–Vr 曲线及探针测试结果。(b) 六种反向偏压下的漏电流。(c) C–Vr 曲线与 1/C2–Vr 曲线。(d) 提取的 ND − NA 深度分布。

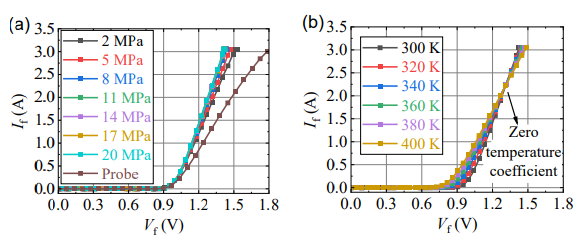
图3. 压制封装 β-Ga2O3 反向偏压二极管的 If–Vf 特性曲线。(a) 不同压力下的 If–Vf 曲线及探针测试结果。(b) 不同结温下的 If–Vf 曲线。

图4. 压制封装 β-Ga2O3 肖特基二极管的热特性。(a) 采用 3 A 直流加热后,不同压力下冷却期的 ΔTj 变化。(b) 不同压力下计算的加热功率与热阻 Rth。(c) 不同直流加热电流下,20 MPa 压力条件下冷却期的 ΔTj 变化。(d) 不同直流加热电流下计算的加热功率与热阻 Rth。
DOI:
doi.org/10.1109/LED.2025.3648911





