【国际论文】美国阿拉巴马大学:通过离轴磁控溅射沉积的Cr₂MnO₄ p–n异质结与(-201) β-Ga₂O₃
日期:2026-01-05阅读:203
由美国阿拉巴马大学的研究团队在学术期刊Journal of Applied Physics 发布了一篇名为 Epitaxial Cr2MnO4 p–n heterojunction to (-201) β-Ga2O3 deposited via off-axis magnetron sputtering(通过离轴磁控溅射沉积的 Cr2MnO4 p–n异质结与(-201) β-Ga2O3)的文章。
背 景
β-氧化镓(β-Ga2O3)作为超宽禁带半导体(~4.9 eV),拥有极高的理论击穿场强(8 MV/cm)和巴利加优值(BFOM),是制造下一代高压、高功率电子器件和日盲深紫外探测器的理想材料。尽管 n 型掺杂技术已经成熟,但 β-Ga2O3 缺乏有效的 p 型掺杂是一个根本性的难题。其价带结构平坦,受主能级深(难以电离),且容易发生自补偿效应。这导致难以制备高导电性的 p 型 Ga2O3 同质结。缺乏 p 型层限制了 Ga2O3 器件主要是单极型。相比于双极型器件,单极型器件通常具有较高的反向漏电流和较低的击穿电压,且缺乏这种 p 型层会导致严重的电场拥挤效应。为了克服上述问题,研究人员转向异质外延,寻找其他 p 型氧化物来构建 p-n 异质结。具有尖晶石结构的 p 型氧化物因其结构与 Ga2O3 具有一定的兼容性,且导电性可调,开始受到关注。
主要内容
本研究报道了通过离轴射频磁控溅射技术在(-201)β-Ga2O3 衬底上异质外延生长尖晶石 Cr2MnO4 薄膜。结构分析证实了(111)取向的外延薄膜,并在 950 ℃ 下实现了优化生长。制备的 Cr2MnO4/β-Ga2O3 垂直二极管展现出整流特性,具有高导通/截止比(∼108)、约 0.85 V 的导通电压及低反向漏电流。透射电子显微镜与原子力显微镜分析表明薄膜呈现斯特兰斯基-克拉斯塔诺夫生长模式,其三维取向结构对器件性能具有潜在价值。电容-电压测量揭示其具有本征 p 型导电性,载流子浓度约为 7 × 1017 cm−3。研究结果表明 Cr2MnO4 可能是 Ga2O3 基双极器件的理想候选材料。
创新点
•报道了将尖晶石氧化物 Cr2MnO4 作为 p 型层与 β-Ga2O3 结合,拓展了 Ga2O3 异质结的材料选择范围。
•证明了离轴磁控溅射是一种制备高质量、低界面损伤 Ga2O3 异质结的有效低成本方法,克服了传统溅射的表面损伤问题。
•解析了 Cr2MnO4 与 Ga2O3 之间的外延生长取向关系以及能带偏移量,为后续器件设计提供了关键物理参数。
结 论
研究团队成功利用离轴磁控溅射技术在 (-201) β-Ga2O3 衬底上实现了 (111) 取向 Cr2MnO4 薄膜的外延生长。在 950 ℃ 条件下获得最佳薄膜质量,生长速率分别为 36 和 1nm/h。结构、形貌及成分分析证实薄膜具有高结晶质量且接近化学计量比。XRD phi 扫描与截面透射电镜揭示了外延生长关系:Cr2MnO4 (111) [1-10] || β-Ga2O3 (-201) [010] 及 Cr2MnO4 (111) [-1-12] || β-Ga2O3 (-201) [102]。制备的 Cr2MnO4/β-Ga2O3 异质结展现出二极管式整流特性,开/关比高达 108,导通电压约 0.85 V。电容-电压曲线分析表明其具有本征 p 型行为,载流子浓度较低(约 7 × 1017 cm−3)。有限的导通电压、小于 2 的理想因子及线性 C-V 曲线表明 Cr2MnO4 具有外延相容性,可作为与 Ga2O3 器件集成的潜在 p 型氧化物半导体,为全氧化物双极功率器件的研发开辟了新路径。

图1. 示意图展示:(a) 拟议的尖晶石 Cr2MnO4 (111) 面与 β-Ga2O3 (-201) 面之间外延取向的截面视图,以及 (b) Cr2MnO4 (111) 面与 β-Ga2O3 (-201) 面的顶视图。在 Cr2MnO4 (111) 平面中观察到氧原子呈六边形排列,边长为 1.724Å;在 β-Ga2O3 (-201) 平面中,氧原子边长范围为 1.632 至 1.721Å。晶体结构模型基于无机晶体结构数据库(ICSD)获取的晶体学信息文件(CIF)生成。

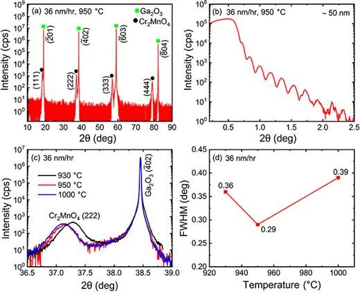
图2. (a) 在 36 nm/h 沉积速率和 950 ℃ 条件下生长的薄膜典型 2θ–ω XRD 图谱。黑色圆圈标记 Cr2MnO4 对应的峰,绿色方块标记 β-Ga2O3 衬底对应的峰。(b) 样品的 2θ–ω XRR 扫描曲线。测得薄膜厚度约为 50 nm。(c) 不同生长温度下以 36 nm/h 速率生长的薄膜 (222) 衍射峰放大图。(d) Cr2MnO4 (222) 衍射峰全宽半高值随生长温度变化曲线。

图3. (a) 在 950℃、1nm/h 速率下生长薄膜的 (222) 衍射峰放大图。(b) 23 nm 薄膜 (222) Bragg 峰的摇摆曲线。对应拟合曲线以黑色显示,其半高宽 (FWHM) 测定值约为 0.26°。

图4. (a) Cr2MnO4 薄膜 (1000℃) 的 (220) 以及 (b) β-Ga2O3 衬底的 (111) 晶面平面内 phi 扫描图。

图5. 在 36nm/h 速率下生长厚度为 50 nm 薄膜的表面形貌 AFM 图像:(a) 930℃, (b) 950℃,(c) 1000 ℃ 下生长厚度为 50 nm 薄膜的表面形貌;以及在 950 ℃ 下以 1 nm/h 速率生长厚度分别为(d) 23 nm 和 (e) 100 nm 薄膜的表面形貌,两组图像采用相同垂直刻度。

图6.(a)Cr2MnO4/β-Ga2O3 界面截面透射电子显微镜图像。(b) Cr2MnO4 薄膜(950 ℃)的 HAADF-STEM 微观图像。插图展示了对应方形框的放大图像,并附有 (111) Cr2MnO4 和 (-201) β-Ga2O3 的晶体模型示意图。
DOI:
doi.org/10.1063/5.0299530














