【会员论文】复旦大学马宏平教授团队:β-Ga₂O₃欧姆接触的最新进展综述
日期:2026-01-09阅读:204
由复旦大学马宏平教授的研究团队在学术会议 2025 22nd China International Forum on Solid State Lighting & 2025 11th International Forum on Wide Bandgap Semiconductors (SSLCHINA: IFWS) 发布了一篇名为Recent Advances in Ohmic Contact with β-Ga2O3: A Review(β-Ga2O3 欧姆接触的最新进展:综述)的文章。
背 景
氧化镓(β-Ga2O3)被视为下一代高功率电子器件和日盲紫外光电器件的潜力材料。拥有约 4.8 eV 的超宽禁带,理论击穿场强高达 8 MV/cm,巴利加优值(BFOM)达到 3334。在相同的击穿电压下,其导通损耗比碳化硅(SiC)和氮化镓(GaN)器件低一个数量级,具备成熟且可控的 n 型掺杂技术。然而,欧姆接触的形成是目前制约其器件性能迈向预期的核心挑战。由于 β-Ga2O3 禁带极宽,且表面存在大量的本征/非本征缺陷以及表面态,导致了严重的费米能级钉扎现象。这使得它与大多数金属接触时都会形成较高的肖特基势垒,极难实现低电阻的电流注入。
主要内容
β-氧化镓(Ga2O3)因其超宽带隙(约 4.8 eV)和高击穿电压(8 MV/cm),被视为下一代大功率电子器件和光电子器件的潜在材料。该材料在高压、大功率、低损耗电力电子器件领域展现出巨大潜力。然而,基于 Ga2O3 的器件性能仍远未达预期,距离实现大规模产业化尚存显著差距。阻碍 β-Ga2O3 材料及器件发展的关键挑战之一在于金属/β-Ga2O3 接触的形成。相较于其他半导体材料,β-Ga2O3 极宽的带隙使其更难实现欧姆接触。因此,深入探究金属/β-Ga2O3 接触界面的物理机制对提升器件性能及促进实际应用至关重要。成功制备 β-Ga2O3 功率器件的关键标准之一,在于形成具有低接触电阻率和高可靠性的欧姆接触。本文综述了 β−Ga2O3 欧姆接触领域的最新进展。首先简要回顾了 β−Ga2O3 欧姆接触形成的前沿研究,涵盖传统 Ti/Au 电极的应用,以及快速热退火(RTA)和反应离子刻蚀(RIE)等工艺在 β−Ga2O3 欧姆接触中的应用。随后,从退火技术、表面处理方法、多层电极及离子注入策略四个维度,深入探讨了 β-Ga2O3 欧姆接触的最新进展。本文不仅为 β-Ga2O3 欧姆接触电极材料选择与制备工艺提供了新见解,更阐明了金属/β-Ga2O3 界面反应机制及欧姆接触形成背后的物理原理,同时深化了对 β-Ga2O3 欧姆接触策略发展趋势的理解。
创新点
•本研究给出了随 Al 组分变化的完整演变趋势,明确了从压应变转变为张应变的关键临界点。
•研究指出,应变能显著改变表面能,从而驱动生长模式从二维向三维的转变。这对未来生长超平整异质界面提供了重要的参考。
•定量给出了 β−Ga2O3 的禁带宽度对应变的变化率。未来可以通过设计特定的应变状态,精确调节器件的工作波长或势垒高度。
总 结
本综述通过探索四条战略路径——创新退火技术、先进表面处理、多层电极设计及离子注入,系统性地整合了近期在克服 β-Ga2O3 低电阻接触形成这一核心挑战方面的关键进展。值得注意的是,实现低电阻接触依赖于对金属/β-Ga2O3 界面进行有针对性的工程设计。除整合研究成果外,本工作还为基础研究与器件实际制造提供了宝贵的指导框架。这种全面认知标志着实现高性能 β-Ga2O3 基功率电子器件迈出了重要一步。
项目支持
本研究得到中国国家重点研发计划(2023YFB4606300)、 中国国家自然科学基金(62474049),上海市科学技术委员会科技创新行动计划(21DZ110080,23ZR1405300)以及长三角科技创新共同体联合攻关计划(2023CSJG0600)共同资助。

图1. β-Ga2O3 欧姆接触形成领域近期先进研究进展的四个方面。

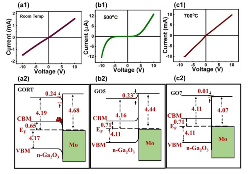
图2. (a1-c1) 在氩气环境中退火 30 分钟后,原始样品与不同退火温度下 Au/Al/Mo/Ga2O3 接触堆叠的 I-V 特性曲线。(a2-c2) 不同退火温度下样品在 Mo/Ga2O3 界面处的能带对齐示意图。

图3. 热退火处理前后界面形态。β-Ga2O3 样品上 Cr/Au 接触的 TLM 结构在 250 ℃ 至 550 ℃ 退火温度下的 I-V 特性曲线。

图4. (a) 采用 RF 400 W/ICP 600 W 蚀刻条件,在蚀刻表面进行圆形 TLM 所得的温度依赖性 ρc 值;(b) 不同蚀刻条件与退火温度下的 ρc 值。参考样品为未经蚀刻的对照样品。

图5. 等离子体处理 β-Ga2O3 衬底的 O 1s 峰 XPS 光谱,偏压功率分别为:(a) 未处理样品,(b) 50 W,(c) 100 W,(d) 150 W。

图6. (a)、(c)、(e) 和 (g) 沿 [001] 区轴方向的 Ti/Ga2O3 界面原子分辨率 ADF-STEM 图像,(b)、(d)、(f) 和 (g) (h) 分别在 (a)、(c)、(e) 和 (g) 图中双向箭头所示区域内,跨越 Ti 层与 Ga2O3 层获得的归一化 C–K 能区电子能量损失谱。

图7. (a) β−Ga2O3 样品上 Ti/Au 接触的 TLM 结构在 0.05 J·cm-2 至 0.3 J·cm-2 退火温度下的 I-V 特性曲线,(b) 间距对 Ti/Au 电极 I-V 特性的影响 Ti/Ga2O3 界面化学反应。

图8. (a) 样品制备、激光退火及 LTLM 图案化示意图,(b) β−Ga2O3 衬底上集成 Cr/Au 接触的 LTLM 结构电学特性,(c) β−Ga2O3/Cr/Au 的透射电子显微镜图像, (d) 经 0.3 J/cm2 退火处理后界面处 Cr 2p 精细能谱拟合,(e) 截面高分辨球差校正透射电子显微镜图像,(f) 经 0.3 J/cm2 激光退火处理后 Cr/Ga2O3 界面能带对齐示意图。

图9. (a) 全掺杂 β-Ga2O3 MOSFET 的示意性横截面,(b) 基于硅掺杂半绝缘 (-201) β-Ga2O3 的 TLM 结构中,总电阻随电极间距变化的拟合曲线图, (c) 100 kHz 频率下 -15 至 5 V 电压扫描的 1/C2-V 曲线,测得载流子浓度为 2.6 × 1018 cm3,(d) 转移特性及 (e) 输出特性曲线,对应制备的 LGD 为 2 μm 的全掺杂 β-Ga2O3 MOSFET。(f) 具有 2 μm 线宽-沟距的全部植入式 β-Ga2O3 MOSFET 三端关态击穿测量,显示在 332 V 时发生灾难性击穿。
DOI:
doi.org/10.1109/SSLCHINAIFWS69008.2025.11314970





