【会员论文】IEEE TED │ 哈尔滨工业大学(深圳)孙华锐团队:3D电热协同建模优化氧化镓MOSFET性能,助力突破功率器件设计瓶颈
日期:2026-01-09阅读:198
哈尔滨工业大学(深圳)孙华锐教授团队在电子器件领域国际权威期刊《IEEE Transactions on Electron Devices》上发表了题为“3-D Modeling for Electrical Optimization of Delta-Doped β-Ga2O3 MOSFETs With Anisotropic Electrothermal Properties”的研究论文。谢银飞博士为第一作者,孙华锐教授为通讯作者。该研究通过建立三维电热耦合模型,系统探究了 β-Ga2O3 MOSFETs 在电热协同设计下的性能优化路径,为下一代高功率氧化镓器件的设计与制造提供了理论依据与技术支撑。
背 景
β-Ga2O3 作为一种超宽禁带半导体材料,因其高临界电场(~8 MV/cm)和优异的 Baliga 品质因子,在功率电子器件中展现出巨大潜力。然而,其较低的热导率严重制约了器件在高功率下的可靠性与性能表现。传统研究多关注单一的电学或热学优化,缺乏电-热-结构协同设计的系统方法,尤其是对各向异性迁移率、热导率、沟道取向与δ掺杂工艺的综合影响尚未深入揭示。
主要内容
研究团队利用 Silvaco TCAD 构建了三维有限元电热耦合模型,系统分析了温度与方向依赖的电子迁移率、热导率、不同沟道取向以及 δ 掺杂对 β-Ga2O3 MOSFET 电学性能的影响。研究发现:热导率各向异性影响显著大于迁移率各向异性,是决定器件性能的关键因素;45°(010)取向沟道因具备最高面内热导率,展现出最优的电学性能与散热能力;δ 掺杂电荷密度存在最优值(5×1013 cm-2),可有效拓宽耗尽区、提升击穿电压,但过高掺杂会导致局部击穿风险;δ掺杂层靠近沟道界面可均匀电场、提高击穿电压,但过近会引入散射中心、降低可靠性。通过协同优化沟道取向、δ 掺杂位置与电荷密度,团队设计的 β-Ga2O3 MOSFET 实现了击穿电压 Vbr = 2284 V、功率优值PFOM = 369.5 MV/cm2、特征导通电阻 RON,sp = 14.1 mΩ·cm2 的优异性能,接近氧化镓材料理论极限。
创新点
1、建模方法创新:建立三维各向异性电-热-结构耦合仿真平台,实现多物理场协同设计与性能预测;
2、机理揭示深入:明确热导率各向异性对电学性能的主导作用,提出“热-电-几何”协同优化路径;
3、设计指导明确:通过 δ 掺杂与沟道取向的协同调控,实现击穿电压与导通电阻的同步优化,为高性能功率 MOSFET 设计提供可行方案。
结 论
本研究系统阐述了在 β-Ga2O3 MOSFET 中通过电-热-结构协同设计实现性能优化的可行性与方法路径。研究表明,通过合理利用材料各向异性、优化沟道取向与 δ 掺杂工艺,可显著提升器件在高功率工作条件下的可靠性与效率。该工作不仅推动了氧化镓功率器件的理论发展,也为宽禁带半导体器件的多物理场协同设计提供了参考。
项目支持
本研究得到了广东省重点领域研发计划项目(2021TQ06C953)、深圳市基础研究面上项目(JCYJ20190806142614541)和集成电路材料全国重点实验室开放课题(SKLIC-K2024-04)的支持。
团队介绍

孙华锐,哈尔滨工业大学(深圳)教授、博导,理学院副院长。从事半导体材料和器件测试领域的研究工作,近年来发展了宽禁带半导体材料和器件热特性的表征分析方法,揭示了热阻的来源和构成机制,提出了器件电热协同设计的策略,阐明了二维半导体拉曼光谱各向异性的物理起源和调制机理。在《Physical Review Letters》、《Laser & Photonics Reviews》、《Nature》系列期刊等发表论文70余篇,申请/授权发明专利十余件,获广东科技创新青年拔尖人才等奖励,任《人工晶体学报》青年编委、广东省分析测试协会表面分析专业委员会常务委员等。

谢银飞,哈尔滨工业大学(深圳)物理学博士,从事超宽禁带半导体器件热可靠性和电热偶合协同优化研究,在《Cell Reports Physical Science》、《Nano Letters》、《Nano Research》、《ACS Applied Materials & Interfaces》、《Applied Physics Letters》、《IEEE Transactions on Electron Devices》、《IEEE EDTM》等国际权威期刊或会议上已发表SCI论文10余篇,申请/授权国家专利十件,获首届中国科协青年人才托举博士生、博士研究生国家奖学金、黑龙江省科协优秀科技人才、黑龙江省普通高等学校三好学生等荣誉奖项。

图1. β-Ga2O3 MOSFET剖面示意图。在衬底层底部添加了有效热边界电阻(TBR)。(b) 五种典型沟道取向(0°、45°、90°、135°、180°)的俯视示意图。

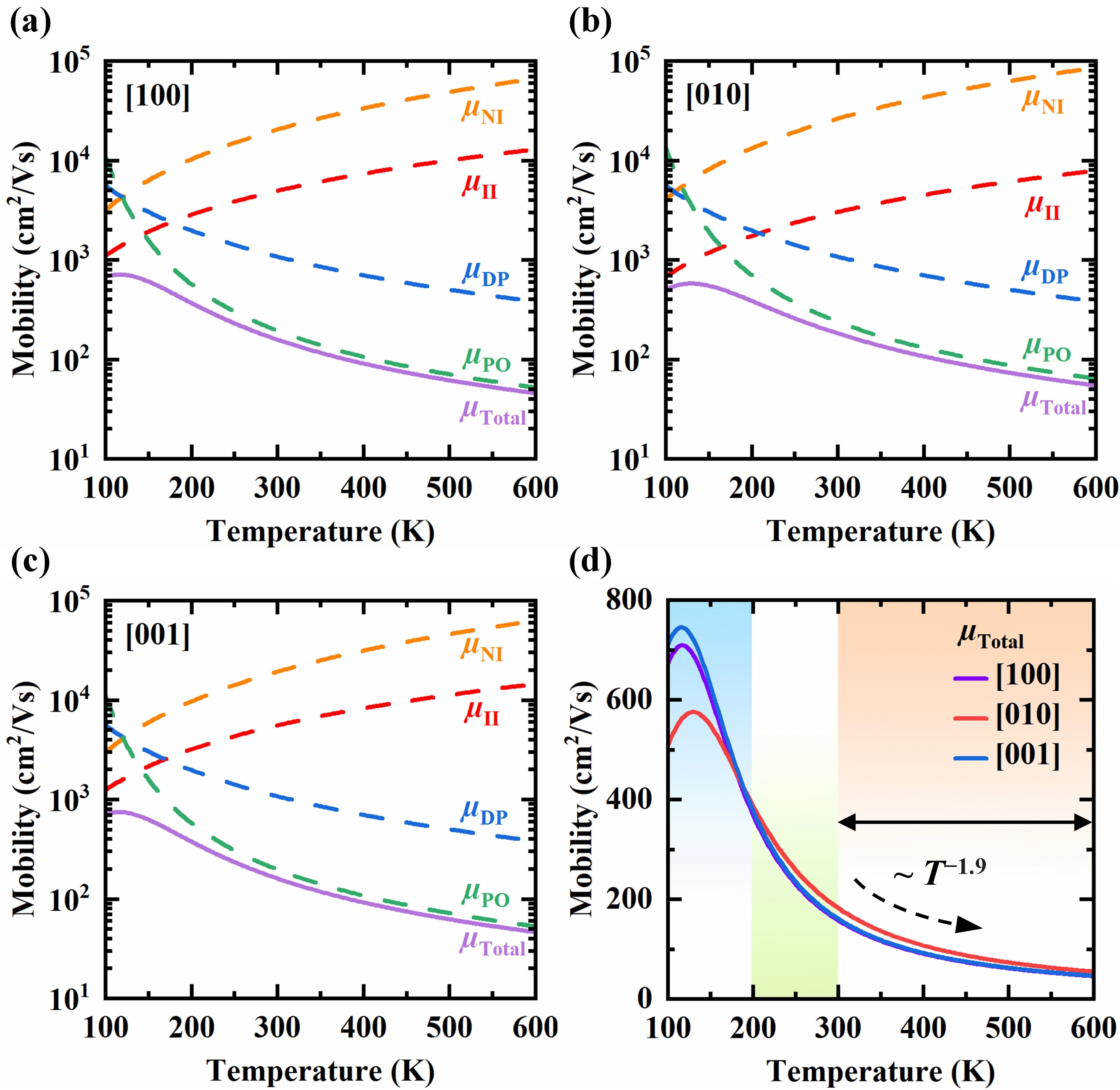
图2. β-Ga2O3 晶体取向为 (a) [100]、(b) [010]、(c) [001] 时的温度依赖电子迁移率计算结果,(d) 三种总迁移率(μTotal)的对比。

图3. (a) β-Ga2O3 室温下三维立体热导率;(b)β-Ga2O3 热导率张量在(001)、(100)、(010)晶面的投影。

图4. β-Ga2O3 沿[100]、[010]、[001]晶体方向的温度依赖热导率计算结果。

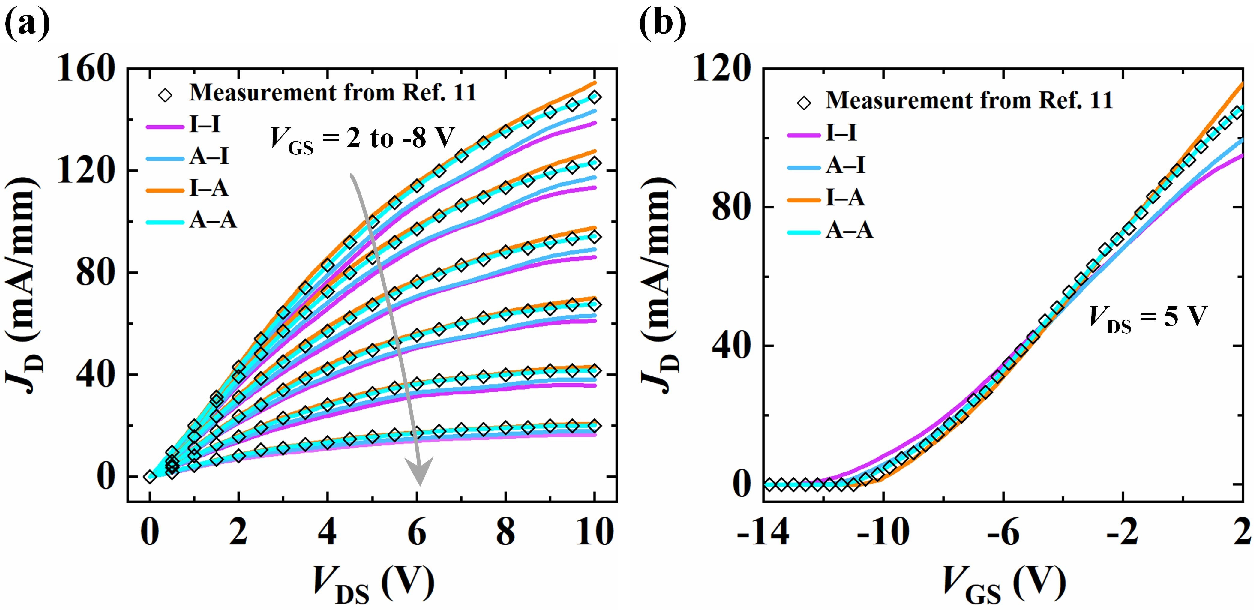
图5. 实验测量结果与本研究电热仿真结果对比:(a) 输出特性曲线,(b) 转移特性曲线(对比配置:各向同性-各向同性(I-I)、各向异性-各向同性(A-I)、各向同性-各向异性(I-A)、各向异性-各向异性(A-A))。

图6. 不同沟道取向下 β-Ga2O3 MOSFET 的仿真结果:(a) VDS = 10 V时的转移曲线,(b) VGS = 0 V时的输出曲线,(c) 沟道表面电场分布,(d) VGS = −50 V时的关态击穿特性,(e) 击穿电压(Vbr),(f) 功率优值(PFOM)。

图7. VGS = 0 V、VDS = 20 V条件下仿真得到的:(a) MOSFET 结温分布,(b) 热导率与饱和电流密度随取向的变化。

图8. 五种δ掺杂总电荷密度下 β-Ga2O3 MOSFET 的仿真结果:(a) VDS = 10 V时的转移曲线,(b) VGS = 0 V时的输出曲线,(c) 沟道表面电场分布,(d) VGS = −50 V时的关态击穿特性,(e) 击穿电压(Vbr),(f) 功率优值(PFOM)。

图9. δ掺杂位置不同时 β-Ga2O3 MOSFET 的仿真结果:(a) VDS = 10 V时的转移曲线,(b) VGS = 0 V时的输出曲线,(c) 沟道表面电场分布,(d) VGS = −50 V时的关态击穿特性,(e) 击穿电压(Vbr),(f) 功率优值(PFOM)。

图10. 最优设计参数(45°沟道取向、δ掺杂电荷密度5 × 1013 cm−2、掺杂位置28 nm)下器件性能仿真(300 K、VGS = −50 V),对比文献[8], [58]-[72]中前沿 β-Ga2O3 MOSFET 性能。
论文信息:
标题:3-D Modeling for Electrical Optimization of Delta-Doped β-Ga2O3 MOSFETs With Anisotropic Electrothermal Properties
作者:Yinfei Xie, Yang He, Zhengyue Li, Yongze Xu, Weiye Liu, Huaxin Guo, Huarui Sun
期刊:IEEE Transactions on Electron Devices
DOI:10.1109/TED.2025.3625537










