【会员论文】中电科四十六所&广西大学&美国肯尼绍州立大学团队:通过导模法在β-Ga₂O₃晶体中掺入Si(Mg)微观结构、带隙及温度依赖性特性的比较分析
日期:2026-01-16阅读:195
由中国电子科技集团公司第四十六研究所、广西大学、美国肯尼绍州立大学的研究团队在学术期刊 Journal of Crystal Growth 发布了一篇名为Si (Mg) doping in β-Ga2O3 crystals by edge-defined film-fed growth: A comparative analysis of microstructure, bandgap, and temperature-dependent properties(通过导模法在β-Ga2O3晶体中掺入Si(Mg):微观结构、带隙及温度依赖性特性的比较分析)的文章。
背 景
氧化镓(β-Ga2O3)作为超宽禁带(UWBG)半导体,具有约 4.9 eV 的禁带宽度和 8 MV/cm 的高击穿场强,其巴利加优值是 SiC 和 GaN 的 10 倍以上。为了开发高性能功率器件,实现对载流子浓度和电学特性的精确调控至关重要。四价 Si 被公认为氧化镓中有效的 n 型掺杂杂质 ;而二价 Mg 理论上被视为潜在的 p 型受体掺杂,但通常会形成深能级导致材料呈现半绝缘特性。导模法(EFG) 是目前制备高质量、大尺寸、低成本氧化镓单晶片最具商业潜力的熔体生长方法之一。目前,关于硅掺杂和镁掺杂引起微观结构、能带结构等变化的研究大多聚焦于单一掺杂类型,缺乏不同元素掺杂间的对比分析及对温度依赖性特性的系统性研究。本文采用 X 射线衍射光谱、光致发光光谱、透射光谱等多项无损表征技术,通过比较硅掺杂、镁掺杂及非故意掺杂 β-Ga2O3 单晶的晶体特性、缺陷发光特性、带隙特性及温度依赖性特性,分析了掺杂元素对 β-Ga2O3 单晶的综合影响。通过对比 Si 掺杂、Mg 掺杂及非故意掺杂 β-Ga2O3 单晶的晶体特性、缺陷发光特性、带隙特性及温度依赖性,分析 Si 掺杂与 Mg 掺杂对 β-Ga2O3 晶体结构、带隙及能级结构的影响。此外,还研究了不同掺杂样品在温度变化条件下的缺陷发光特性和带隙变化特性,旨在为掺杂 β-Ga2O3 单晶材料的应用提供参考依据。
主要内容
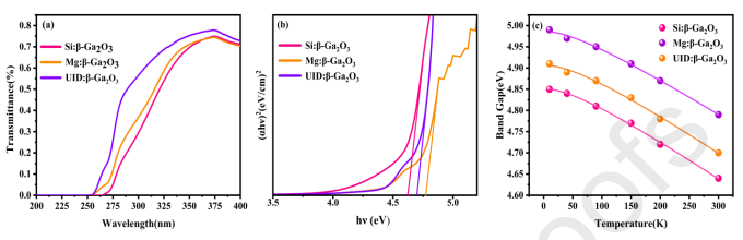
通过导模法(EFG)对 Si/Mg 掺杂的 β-Ga2O3 晶体进行了系统性研究,比较分析了其微观结构、光学特性、带隙及变温行为。X 射线衍射结果表明,与非故意掺杂的 β-Ga2O3 单晶相比,Si 掺杂导致 β-Ga2O3 单晶中 (400)、(600) 和 (800) 晶面的层间距减小,而 Mg 掺杂则导致其层间距增加。通过对室温光致发光(PL)数据集的综合分析,发现两种样品的缺陷相关发光特性发生显著变化:Si 掺杂样品呈现强蓝光发射与弱红光发射,而 Mg 掺杂样品则呈现强红光发射伴随弱蓝光发射的相反趋势,并出现多个窄带红光发光峰。变温光致发光(PL)结果表明:Si 掺杂 β-Ga2O3 的发光峰位置随温度升高先红移后蓝移;而 Mg 掺杂样品的发光峰位置与强度则呈现单调递减趋势。进一步分析表明,Si 掺杂缩小了带隙,使费米能级更接近导带底;而 Mg 掺杂增大了带隙,导致费米能级向带隙中部偏移。在 10 K 至 300 K 的变温条件下,带隙随温度变化符合 Varshni 公式。
创新点
● 比较 Si/Mg 掺杂对 β-Ga2O3 微观结构、带隙及温度依赖性特性的影响。
● Si 掺杂缩小层间距,Mg 掺杂则增大层间距。
● Si 掺杂 β-Ga2O3 的发光峰随温度呈现独特的红移-蓝移现象,与 Mg 掺杂材料的单调位移不同。
● 硅掺杂使 β-Ga2O3 带隙变窄,镁掺杂则使带隙变宽。
结 论
本研究通过 X 射线衍射(XRD)、光致发光(PL)、透射光谱和紫外光电子能谱(UPS)等表征技术,系统比较了硅掺杂和镁掺杂对 β-Ga2O3 单晶微观结构、缺陷发光、带隙及温度依赖性行为的影响。XRD 分析表明,硅掺杂因 Si4+ 半径小于 Ga3+ 且 Si-O 键长较短,导致 (400)、(600) 及 (800) 晶面间距缩小;而镁掺杂则因 Mg2+ 半径大于 Ga3+ 且 Mg-O 键长较长,使上述晶面间距增大。室温光致发光结果表明:Si 掺杂样品呈现强蓝光发射与弱红光发射,而 Mg 掺杂样品则展现出多窄峰的强红光发射——表明两种掺杂剂引入了不同的缺陷能级。温度依赖性光致发光分析发现:Si 掺杂样品的发射峰随温度升高先红移后蓝移,并在 50-70 K 出现反热淬灭;Mg 掺杂样品则呈现峰值单调蓝移及持续发光强度衰减。光学带隙计算表明:Si 掺杂使 β-Ga2O3 带隙减小至 4.63 eV,Mg 掺杂则增大至 4.78 eV,两者均遵循 Varshni 方程描述的温度依赖规律。UPS 测量进一步证实:Si 掺杂使费米能级向导带最低点偏移(ΔEc=0.32 eV),载流子浓度增至 1.31×1018 cm-3 并呈现 n 型导电性。相反,Mg 掺杂使费米能级向带隙中点移动(ΔEc=1.84 eV),降低载流子浓度并呈现半绝缘行为。本研究揭示了 Si 和 Mg 掺杂对 β-Ga2O3 微观结构及光电性能的调控机制,为氧化镓基功率与光电子器件的掺杂设计提供了实验依据。

图1. 采用 EFG 生长的(a)Si 掺杂、(b)Mg 掺杂及(c)非故意掺杂 β-Ga2O3 单晶的 X 射线衍射(XRD)图谱。

图2. Si 掺杂(a)、Mg 掺杂(b)及非故意掺杂(c)β-Ga2O3 单晶的 X 射线衍射(XRD)精细扫描图,显示 (400) 峰及高斯拟合曲线。

图3. 在 DUV(261 nm)激发下,室温光致发光(PL)光谱的高斯峰拟合结果:(a)Si 掺杂、(b)Mg 掺杂及(c)非故意掺杂的 β-Ga2O3 单晶。

图4. (a)、(c) 分别展示了 Si 掺杂和 Mg 掺杂 β-Ga2O3 的可变温度光致发光光谱测量结果,(b)、(d) 则分别给出了发光峰位置随温度变化的示意图。

图5. (a) 室温下 Si/Mg 掺杂与非故意掺杂 β-Ga2O3 单晶的透射光谱,(b) 三种样品对应的 (ahn)2~hn 曲线,(c) 三种样品的带隙随温度变化曲线:彩色圆点代表实验数据点,实线表示拟合曲线。

图6. (a) Si/Mg 掺杂与非故意掺杂 β-Ga2O3 单晶的 UPS 测量谱图;(b) 能带结构示意图。
DOI:
doi.org/10.1016/j.jcrysgro.2026.128487























