【会员论文】北京邮电大学吴真平教授联合南京邮电大学唐为华教授团队:面向日盲紫外探测的MOCVD法制备Ga₂O₃薄膜:相演化与光电性能
日期:2026-02-10阅读:234
由北京邮电大学吴真平教授联合南京邮电大学唐为华教授团队的研究团队在学术期刊 Chinese Physics B 发布了一篇名为 Phase Evolution and Optoelectronic Properties of Ga2O3 Films via MOCVD for Solar-Blind UV Detection(面向日盲紫外探测的 MOCVD 法制备 Ga2O3 薄膜:相演化与光电性能)的文章。
背 景
超宽带隙半导体材料 Ga2O3(禁带宽度4.9 eV,吸收边约 270 nm),其日盲紫外特性使其在紫外探测、通信及预警等领域应用前景广阔。在多种晶相中,β-Ga2O3 因其热力学稳定性及相对易于制备而成为研究重点。薄膜制备方法各具特点:MOCVD 技术因其高纯度、快速生长和优良均匀性,被视为实现大面积高质量 β-Ga2O3 外延生长的首选工艺。然而,生长过程中易因气相反应与参数波动引入缺陷,尤其是氧空位会显著增加器件暗电流、降低性能。本研究基于热力学模型优化 MOCVD 生长温度,成功获得了低污染、高结晶质量且表面平整的 β-Ga2O3 外延薄膜,并通过氧空位调控改善了紫外探测器的光电响应特性,为高性能 Ga2O3 器件奠定了材料基础。
主要内容
本文研究了采用金属有机化学气相沉积(MOCVD)技术在c面蓝宝石衬底上异质外延生长 β-Ga2O3 薄膜,并系统探讨了生长温度(450°C至750°C)对薄膜晶体结构、表面形貌、化学状态及光电性能的影响。研究发现,生长温度显著调控薄膜的晶相演变、氧空位浓度及结晶质量。基于优化后的生长参数,制备了高性能的金属-半导体-金属(MSM)结构日盲紫外光电探测器,并评估了其光电响应特性。
创新点
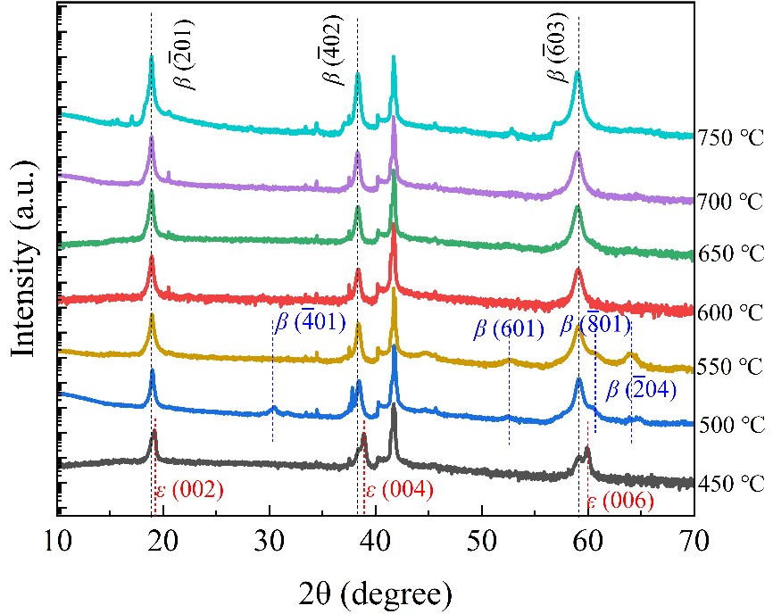
● 明确了MOCVD生长中 β-Ga2O3 的成核与相变行为。当生长温度超过 600°C 时,可获得单一取向(-201)的高质量 β 相薄膜,且结晶度随温度升高而持续改善。通过综合评估晶体质量、表面粗糙度、生长速率及氧空位浓度,确定最优生长温度。
● 阐明了生长温度通过影响氧空位浓度,进而调控探测器性能的物理机制。较低的氧空位缺陷抑制了载流子陷阱辅助隧穿与散射,是 T700 器件获得高性能的关键。
结 论
本研究通过优化 MOCVD 生长温度,成功实现了高质量、低缺陷 β-Ga2O3 薄膜的可控制备。系统揭示了温度对薄膜晶体质量、表面形貌及氧空位缺陷的关键作用,并将材料优化与器件性能直接关联。在 700°C 下生长的薄膜制备出的日盲紫外光电探测器展现了优异的综合性能,证明了 MOCVD 技术制备高性能 β-Ga2O3 基光电器件的可行性与潜力,为后续相关器件开发提供了重要的工艺基础和实验指导。
项目支持
本研究得到中国国家重点研发计划(2022YFB3605404)、中国国家自然科学基金联合基金(U23A20349),江苏省自然科学基金(BK20250657),以及南京邮电大学人才引进自然科学研究启动基金(XK1180924052)。

图1 β-Ga2O3 外延片的XRD图谱

图2 不同温度下生长的 β-Ga2O3 薄膜的SEM及AFM表面形貌图像:(a) 600°C, (b) 650°C, (c) 700°C, (d) 750°C。

图3 β-Ga2O3薄膜在不同温度下的厚度分布:(a) 600℃, (b) 650℃, (c) 700℃, (d) 750℃;(e)所有薄膜的截面SEM图像及(f)其椭圆偏振仪测量的平均膜厚。

图4 700℃下生长的 β-Ga2O3 薄膜的TEM截面图像:(a)低倍像,(b)高分辨TEM像,(c)放大HAADF像,(d)选区电子衍射花样。

图5 β-Ga2O3薄膜的分峰拟合O 1s高分辨率XPS谱图及对应的OII/(OI + OII)组分比例:(a) T600, (b) T650, (c) T700, (d) T750。

图6 T600、T650、T700和T750光电探测器在5 V偏压、254 nm波长、100 μW/cm2光照强度下的(a)电流-电压特性曲线,(b)随时间变化的光响应特性,以及(c)上升与衰减时间对应的归一化电流-时间曲线。
DOI:
10.1088/1674-1056/ae3472
















