【国内论文】EDL丨香港大学&弗吉尼亚理工大学&南京大学叶建东教授团队:击穿电压超过6.5 kV高温增强型Ga₂O₃单片双向开关器件
日期:2026-02-28阅读:277
由南京大学叶建东教授、香港大学、弗吉尼亚理工大学的联合团队在学术期刊 IEEE Electron Device Letters 发布了一篇名为 High-Temperature Enhancement-Mode Ga2O3 Monolithic Bidirectional Switch With >6.5 kV Breakdown Voltage(击穿电压超过 6.5 kV 高温增强型 Ga2O3 单片双向开关器件)的文章。
背景
交流功率电子应用对双向开关(BDS)提出了极高要求 。双向开关需在关断状态下阻断双极性电压,并在导通状态下实现双向电流传导。传统的双向开关通常由两个或四个离散器件通过反串联方式组成。这种方式导致芯片面积至少增加四倍,因为每个器件仅贡献总导通电阻的一半,严重限制了系统的功率密度并增加了成本。单片双向开关(MBDS)通过共享单个漂移区解决了上述问题,使其芯片面积可与单向器件媲美。虽然硅基和氮化镓(GaN)基 MBDS 已有显著进展,但 GaN 器件受限于电场集中问题,最高击穿电压(BV)目前仅能达到 3.3 kV。作为超宽禁带(UWBG)半导体的典型代表,β-Ga2O3 具有极高的临界击穿场强(~8 MV/cm)和卓越的高温稳定性 。尽管单向氧化镓器件已实现超过 10 kV 的击穿电压,但现有的氧化镓 MBDS 研究尚处于起步阶段,此前报道的电压水平均低于 400 V,且缺乏高温运行的验证。
主要内容
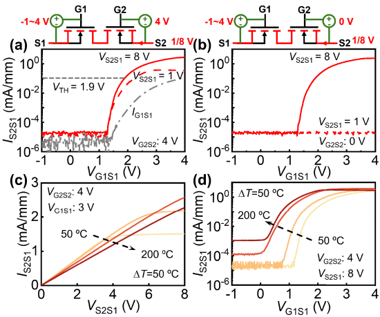
本研究展示了一种增强型(E-mode)Ga2O3 单片双向开关(MBDS),该器件具备高温工作能力,在 150 ℃ 时正负极性均实现超过 6.5 kV 的击穿电压(BV),并在 200 ℃ 时仍能维持 4.7 kV 的击穿电压。该器件采用两个高掺杂 NiO 异质结栅极,每个栅极均连接至低掺杂 NiO 结点延伸区(JTE)以实现电场管理。其导通特性呈现对称性,阈值电压(VTH)为 1.9V,导通电阻(Ron,sp)为 1755 mΩ·cm2。即使在 200 °C 时,VTH 仍保持正值,而 Ron,sp 仅增加 1.3 倍。这代表了超宽带隙(UWBG)E-mode MBDS 器件迄今报道的最佳性能,也是首个在 200 °C 下运行的千伏级 MBDS 器件。这些结果表明 Ga2O3 MBDS 器件在高温高压应用领域具有广阔前景。
创新点
● 首次将单片双向开关的击穿电压提升至 6.5 kV 以上,远超此前 GaN 基 MBDS 约 3.3 kV 的极限。
● 该研究是全球首个在 200°C 高温下成功演示千伏级 MBDS 运行的案例。
● 通过结合高掺杂 p++-NiO和轻掺杂 p--NiO,在确保增强型特性的同时实现了极高的可靠性。
总结
本研究展示了一种可在高温下运行的 E-mode Ga2O3 金属-绝缘体双极器件(MBDS)。通过优化基于 NiO 的双极结的线性结压(LJTE)和阈值结压(tJTE),该器件在 150 ℃ 时正负极均达到 6.5 kV 的击穿电压,并在 200 ℃ 时仍保持 4.7 kV 的电压。NiO 结栅结构使 E-mode 工作能在 200 ℃ 环境下持续运行。作为首款 200 ℃ 工作环境下运行的多千伏 MBDS,该成果表明 Ga2O3 MBDS 在高压高温电力电子领域具有广阔应用前景。

图1 (a) 具有 p-NiO 双结终端延伸(D-JTE)的Ga2O3单片双向开关(MBDS)三维结构示意图。(b) Ga2O3 外延层的ND-NA 掺杂深度分布。(c) 关键器件制备工艺步骤示意图。(d) 制备的 Ga2O3 MBDS 的SEM图像。

图2 (a) 在晶体管和(b)二极管模式下器件的双向输出特性。(c) 导通态电流分布示意图,展示了耗尽效应的影响。(d) 在正向导通状态下,考虑 NiO/Ga2O3界面处约1012 cm-2负电荷时,Ga2O3 MBDS的仿真电流密度分布图。

图3 器件的转移特性曲线,以及高温下的正向输出与转移特性曲线。

图4 (a) 在VG2S2=VG1S1=0V 条件下,具有与不具有 D-JTE 结构的 Ga2O3 MBDS 的正向与反向阻断特性对比。(b) 不同 JTE 长度条件下 Ga2O3 MBDS 的双极性阻断特性。(c) 不同 JTE 厚度 tJTE及不同栅间距LG1G2条件下的正向阻断特性。虚线表示栅极泄漏电流。(d) 室温与高温条件下的正向阻断特性。

图5 (a)–(c) 在 6 kV 阻断条件下,不同 JTE 厚度 tJTE(26 nm、38 nm、57 nm)对应的 Ga2O3 MBDS 仿真电场分布图。(d) 不同tJTE条件(e)不同对应的仿真电场分布。

图6 本研究中 Ga2O3 磁阻纳米线器件的 Ron,sp 与磁阻值(BV)与已报道的其他 Ga2O3、GaN 及 SiC 单片双向器件进行对比。
DOI:
doi.org/10.1109/LED.2025.3646042





