【国内论文】北京微电子技术研究院&清华大学丨基于 Ag/AMB-AlN 倒装芯片封装技术实现超高浪涌电流的β-Ga₂O₃二极管
日期:2026-03-02阅读:186
由北京微电子技术研究院联合清华大学的研究团队在学术期刊 Journal of Electronic Science and Technology 发布了一篇名为 β-Ga2O3 diodes with ultra-high surge current enabled by Ag/AMB-AlN flip-chip packaging(基于 Ag/AMB-AlN 倒装芯片封装技术实现超高浪涌电流的 β-Ga2O3 二极管)的文章。
背 景
β-Ga2O3 具有超宽禁带(4.5–4.9 eV)和极高的临界击穿电场(6–8 MV/cm),是新一代高压功率器件的理想材料 。然而,其热导率仅为硅(Si)的约 1/6,运行过程中的严重自加热效应限制了其性能发挥。传统的封装方案如纳米银浆或直接键合铜(DBC)衬底,在大电流下易发生电迁移失效,或在极端高温(> 250 °C)下出现界面分层风险 。此外,焊料的温度限制(< 220 °C)和热膨胀系数失配也严重影响了倒装结构的可靠性。在确保高可靠性的同时进一步降低热阻的创新方法仍具挑战性。本研究通过在氮化铝活性金属钎焊(AMB-AlN)衬底上采用纳米银薄膜热压技术,实现了具有倒装芯片结构的低热阻(J-C)解决方案。通过高温存储、反向恢复及浪涌电流测试,全面评估了采用该先进 Ag/AMB-AlN 倒装芯片封装的各类 β-Ga2O3 器件(如台面式肖特基势垒二极管 SBDs 与异质结二极管 HJDs)的可靠性表现。研究成果为 Ga2O3 功率器件封装技术提供了关键性启示。
主要内容
由于具有优异的击穿电压和卓越的坚固性,β-Ga2O3 功率器件已成为电力电子领域的重要研究前沿。尽管已采用包括纳米银浆烧结、氧化铝直接键合铜(DBC)基板和倒装芯片结构在内的先进封装策略来缓解 β-Ga2O3 固有的低导热性问题。但如何在保持高可靠性的同时进一步降低热阻仍具挑战。本研究提出一种创新封装方案,通过协同整合纳米银薄膜与氮化铝活性金属钎焊(AMB-AlN)衬底,实现了超低结-壳热阻。对 β-Ga2O3 肖特基势垒二极管(SBD)和 p-NiO/β-Ga2O3 异质结二极管(HJD)进行了全面可靠性评估,包括高温存储测试、反向恢复分析及浪涌电流特性表征。SBD与HJD的浪涌电流密度分别达约 0.88 kA/cm2 和 0.78 kA/cm2,位居 β-Ga2O3 功率器件已报道最高水平之列,标志着器件性能基准取得重大突破。这些进展为高可靠性超宽禁带半导体系统的封装设计提供了关键性启示。
创新点
通过将纳米银薄膜与高热导率 AMB-AlN 衬底协同集成,成功实现了仅为 0.66 K/W 的结到壳热阻(Rth(J-C)),显著优于传统封装。
封装后的 SBD 和 HJD 分别展现了约 0.88 kA/cm2 和 0.78 kA/cm2 的浪涌电流密度,代表了目前 β-Ga2O3 功率器件报告中的极高水平。
结 论
在本研究中,研究团队封装了尺寸为 β-Ga2O3 反向偏置二极管(SBD)和高结温二极管(HJD)。通过采用高导热性AMB基板和纳米级银烧结工艺实现低结壳热阻,对器件可靠性进行了评估。结果表明,β-Ga2O3 SBD 器件展现出卓越的开关性能:反向恢复时间仅 13.8 ns,反向恢复电荷 11.3 nC,彰显其高速开关特性。得益于低导通电压与优化的阳极热设计,该 SBD 在 10 ms 脉冲宽度下实现约 0.88 kA/cm2 的峰值浪涌电流密度。相比之下,β-Ga2O3 高结击穿二极管展现出更优异的击穿电压、更低的反向漏电流及卓越的高温稳定性,在 250 ℃ 高温短时测试中性能衰减可忽略不计。本研究彰显了 β-Ga2O3 二极管的优异鲁棒性,为针对不同工作环境选择适配器件提供了理论指导。

图1. 封装 β-Ga2O3 器件的结构与电学表征:(a) 采用倒装芯片封装结构的芯片横截面, (b) 带 Ti/Ag 层的芯片照片,(c) 封装器件照片,(d) 带/不带封装器件的正向 I-V 特性曲线,(e) 封装 β-Ga2O3 SBD 与 HJD 器件的正向 I-V(实线)与 R-V(点状曲线)特性曲线,(f) 反向 I-V 特性曲线。

图2. T3Ster Master的热阻测试结果:(a) 测得的瞬态热阻曲线;(b) 含/不含导热材料时器件的结构函数。其中 Rth 和 Cth 分别表示热阻和热电容。

图3. 在 0.1 mH 电感条件下,(a) β-Ga2O3 SBD 与 (b) β-Ga2O3 HJD 的浪涌电流及电压波形;在 10 mH 电感条件下,(c) β-Ga2O3 SBD 与 (d) β-Ga2O3 HJD 的浪涌电流及电压波形。此处“故障”表示器件在指定脉冲强度下发生击穿。

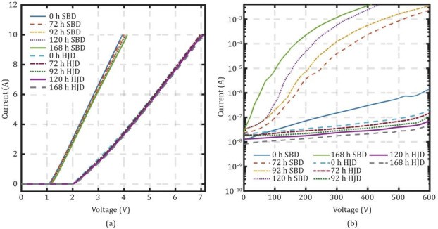
图4. 高温短时热处理(HTST)结果:(a)β-Ga2O3 结型双极晶体管(SBD)与热电耦合器件(HJD)经 HTST 处理前后的正向 I-V 特性曲线;(b)经 HTST 处理后两器件的反向 I-V 特性曲线。

图5. 不同温度下 (a) 硅 FRD、(b) β-Ga2O3 SBD 及 (c) β-Ga2O3 HJD 的反向恢复特性。表格显示二极管在不同温度 (T) 下的 trr 和 Qrr 参数。其中 RT 表示室温,ΔIpeak 表示不同温度下电流峰值的差值。
DOI:
doi.org/10.1016/j.jnlest.2026.100347










