【国际论文】Sensor Actuat B-Chem丨德国IKTS:飞秒激光赋能GaN–Ga₂O₃,NO₂高温检测灵敏度大跃升
日期:2026-04-07阅读:104
由德国弗劳恩霍夫陶瓷技术与系统研究所(IKTS)的研究团队在学术期刊 Sensors and Actuators B: Chemical 发布了一篇名为 Formation of GaN-Ga₂O₃ surface heterostructures via Femtosecond-laser-irradiation for sensitive and selective NO₂ sensing at elevated temperatures(利用飞秒激光辐照制备 GaN-Ga₂O₃ 表面异质结构,用于高温下对 NO₂ 的高灵敏度与高选择性检测)的文章。
期刊介绍
《Sensors and Actuators: B Chemical》主要聚焦化学传感器、气体/液体传感技术及相关器件的研究与应用。它涵盖从材料设计、器件制备、信号处理到系统集成等全流程,尤其重视创新传感材料、纳米结构功能化以及高性能传感器的实际应用。该期刊在化学与材料科学领域的影响力极高,在传感器类/化学工程类中长期位居一区(Q1),是该领域内最具权威性和前沿性的 Top 期刊之一。
背 景
NO₂ 是一种极具毒性的工业污染气体,实现其在高温环境下的高灵敏度、高选择性监测对环境保护和人体健康至关重要。氮化镓(GaN)作为一种宽禁带半导体,因其卓越的热稳定性和化学稳定性,被认为是开发高温气敏传感器的理想基底。然而,原始的 GaN 传感器往往面临灵敏度较低且响应/恢复速度慢的问题。为了克服这些缺陷,研究团队探索利用飞秒激光(Femtosecond Laser)的高能量特性,在 GaN 表面精确诱导氧化反应,生成一层超薄的 Ga₂O₃ 薄膜,通过构建 GaN-Ga₂O₃ 表面异质结构来大幅提升其对 NO₂ 的感测能力。
主要内容
作为最具毒性的气体之一,二氧化氮(NO₂)气体的可靠检测对于人类健康和环境保护至关重要。氮化镓(GaN)是一种具有高化学稳定性的宽带隙材料。然而,其原始形态的传感性能较差。在此,本文作者采用自行设计的氢化物气相外延技术沉积了不同厚度的 GaN 薄膜。研究发现,厚度约为 1 um 的薄膜对 NO₂ 的传感效果最佳。接下来,本文作者对厚度约为 1 um 的 GaN 薄膜施加飞秒激光辐照,以局部诱导部分氧化,从而形成 GaN–Ga₂O₃ 表面异质结构。各种结构和表面表征证实了结晶 Ga₂O₃ 的存在,以及飞秒激光辐照后表面粗糙度的增加。与原始 GaN 薄膜相比,经激光处理的 GaN–Ga₂O₃ 传感器表现出更高的灵敏度、选择性和更快的响应与恢复时间。这种增强的传感行为归因于 GaN–Ga₂O₃ 异质结构的形成,这些结构作为强大的电阻调制源,同时表面粗糙度的增加也导致活性吸附位点密度的增加。因此,飞秒激光辐照是一种简单且可扩展的方法,可用于调整 GaN 的表面化学性质和电子结构,从而全面提高传感能力。
创新点
● 研究展示了利用飞秒激光辐照作为一种高效、局部且超快的方法,在不破坏基底深层结构的前提下,于 GaN 表面直接转化生成氧化层。这种方法比传统的炉管热氧化更具精确性,且能产生独特的纳米级表面形貌。
● 制备的 GaN-Ga₂O₃ 异质结传感器在高温(如 250 °C – 350 °C)环境下对 NO₂ 表现出极高的灵敏度。相比于纯 GaN 传感器,异质结器件的响应值(Response)提升了数倍,能够有效检测到低浓度的 NO₂ 气体。
● 实验证实,该传感器对 NO₂ 具有极佳的选择性,能够从 CO、H₂ 和 CH₄ 等干扰气体中精准识别出目标气体。此外,器件在多次循环测试中表现出良好的长期稳定性和重现性。
● 研究深入剖析了 GaN 与 Ga₂O₃ 界面处的电荷传输机理。形成的异质结显著调节了耗尽层宽度和势垒高度,当 NO₂ 分子吸附在表面时,会引起更剧烈的电阻变化,这是灵敏度提升的物理核心。
● 飞秒激光处理不仅改变了化学组分,还在表面引入了更多的活性位点和氧空位。这些结构特征极大地促进了气体分子的吸附与解吸动力学,缩短了响应和恢复时间。
总 结
在本研究中,检测了不同厚度的氮化镓(GaN)薄膜,发现约 1 um 的厚度最适合用于二氧化氮(NO₂)传感。通过飞秒激光照射对这种优化的 GaN 薄膜进行表面改性,形成了 GaN–Ga₂O₃ 表面异质结构,同时表面粗糙度显著增加。因此,与原始 GaN 相比,GaN–Ga₂O₃ 传感器在 NO₂ 传感特性上有了显著提升,包括更高的灵敏度、更快的响应和恢复速度、良好的重复性以及更低的湿度干扰。这些改进主要与 GaN–Ga₂O₃ 结处的界面效应和活性表面位点数量的增加有关。本研究结果表明,飞秒激光照射为定制基于 GaN 的气体传感器提供了一种实用方法,尤其适用于需要在高温下稳定运行的应用。由于 GaN 与高温电子设备和基于微加热器的传感器平台兼容,因此,本研究中展示的飞秒激光诱导表面改性技术可以直接应用于器件制造后的图案化传感层。因此,所提出的策略为集成到基于微机电系统(MEMS)的气体传感器架构和高温 NO₂ 传感系统中提供了实际潜力。这一特性使得本方法在可扩展的器件制造和基于 GaN 的气体传感器的实际应用部署方面特别具有吸引力。

图1. 蓝宝石基底上沉积的不同厚度 GaN 薄膜的俯视扫描电子显微镜(SEM)图像及其对应的扫描电子显微镜-能谱(SEM-EDS)谱图:(a,b)~ 2 um 厚的 GaN 薄膜和(c,d)~ 500 nm 厚的 GaN 薄膜。

图2. (a) GaN 薄膜和经飞秒激光脉冲能量辐照后的 GaN 薄膜的 X 射线衍射(XRD)图谱,辐照能量分别为(b) 47.5 nJ、(c) 95 nJ和(d) 190 nJ。

图3. (a)-(b)GaN 和(c)-(d)GaN–Ga₂O₃ 薄膜的原子力显微镜(AFM)图像。

图4. (a) GaN–Ga₂O₃ 的 X 射线光电子能谱(XPS)全谱图。(b) Ga 2p、(c) N 1s和(d) O 1s的 XPS 核心能级区域。

图5. GaN 和 GaN–Ga₂O₃ 的 XPS 核心能级对比:(a) Ga 2p;(b) N 1s;以及(c) O 1s。

图6. (a) GaN 的 UPS 光谱。(b) GaN–Ga₂O₃ 异质结构的能带排列示意图。

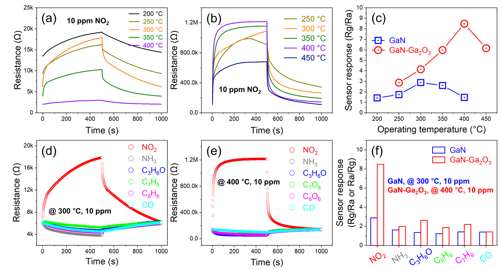
图7. (a) GaN 和(b) GaN–Ga₂O₃ 气体传感器在不同温度下对 10 ppm NO₂ 气体的动态电阻曲线,以及(c)相应的响应与温度的关系。 (d) GaN 和(e) GaN–Ga₂O₃ 气体传感器对 10 ppm 不同气体的动态电阻曲线,以及(f)相应的选择性直方图。

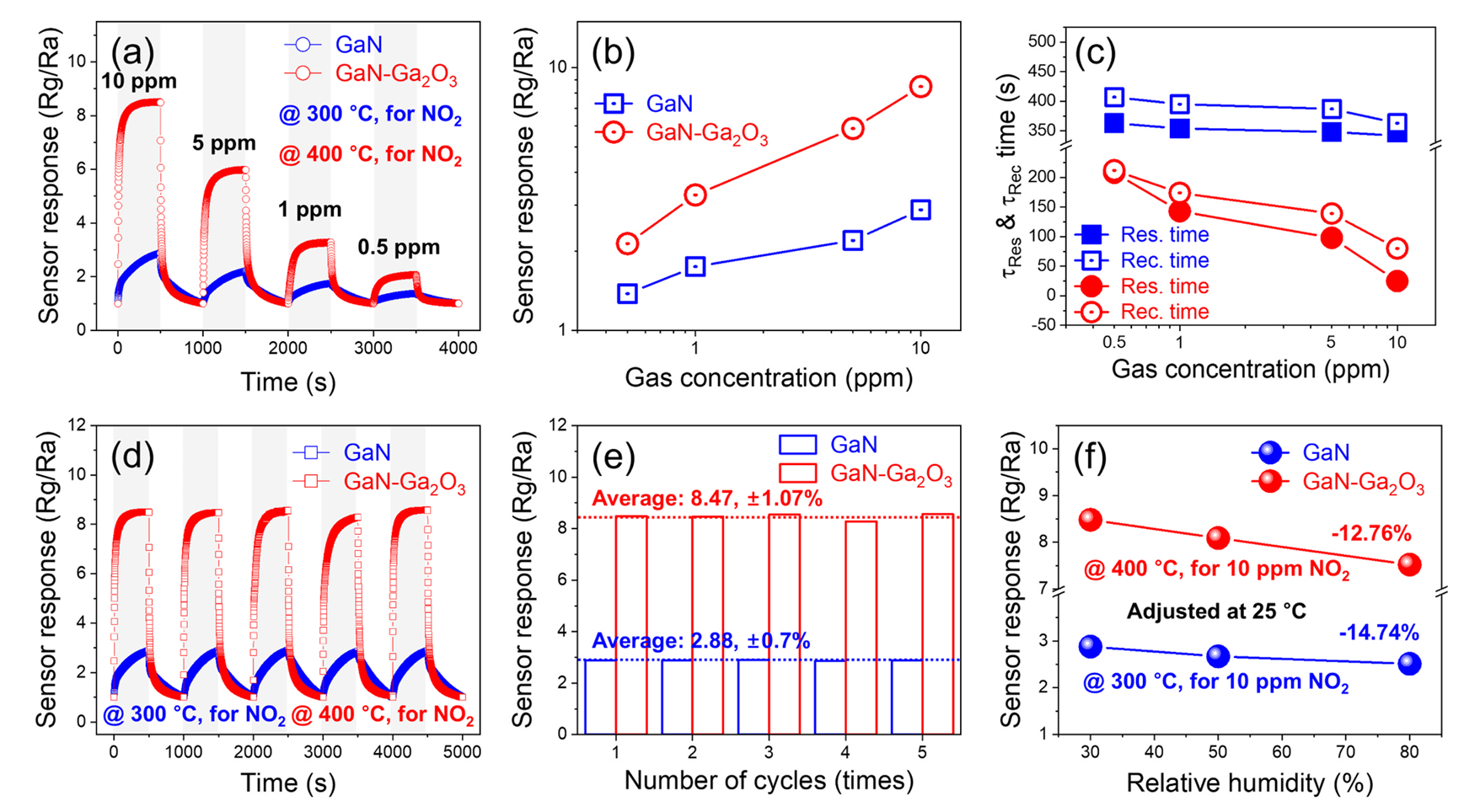
图8. (a) GaN 和 GaN–Ga₂O₃ 的动态响应曲线以及相应的(b)校准曲线和(c)响应时间和恢复时间。(d) GaN 和 GaN–Ga₂O₃ 气体传感器在五个连续循环中对 10 ppm NO₂ 气体的重复性,以及相应的(e)响应与气体传感循环的关系,以及(f)在最佳工作温度(GaN 为 300 ℃,GaN–Ga₂O₃ 为 400 ℃)下,GaN 和 GaN–Ga₂O₃ 气体传感器对 10 ppm NO₂ 的响应随相对湿度(RH)的变化。RH 值在 25 ℃ 下调整。

图9. 初始测量和约三个月后测量不同浓度 NO₂ 时传感器的长期稳定性。(a)原始 GaN 传感器。(b)GaN–Ga₂O₃ 传感器。(c)相应的传感器响应。

图10. 原始 GaN 和 GaN–Ga₂O₃ 传感器所提出的 NO₂ 气体传感机理示意图。
DOI:
doi.org/10.1016/j.snb.2026.139873











