【会员论文】深圳平湖实验室张道华院士、万玉喜主任&南方科技大学化梦媛研究员团队:具有低表面粗糙度的垂直β-Ga₂O₃肖特基势垒二极管
日期:2026-04-09阅读:101
由深圳平湖实验室张道华院士、万玉喜主任和南方科技大学化梦媛研究员的研究团队在学术期刊 Journal Of Vacuum Science & Technology A 发布了一篇名为 Vertical β-Ga₂O₃ Schottky barrier diodes with low surface roughness(具有低表面粗糙度的垂直 β-Ga₂O₃ 肖特基势垒二极管)的文章。陈嘉祥博士是该文的第一作者。
背 景
氧化镓(β-Ga₂O₃)因其超宽带隙和高击穿场强,被认为是制备高功率电子器件的理想材料。在各类器件结构中,垂直结构二极管由于能够充分利用外延层的厚度来承载高电压,并具有更好的散热潜力,成为研究重点。然而,在实际制备过程中,外延生长后的表面粗糙度以及金属/半导体界面的质量直接影响着肖特基接触的特性。较高的表面粗糙度会导致电场分布不均,进而增加漏电流并降低击穿电压。因此,探索能够有效降低表面粗糙度并优化界面的制备工艺,对于实现高性能、高可靠性的氧化镓功率整流器至关重要。
主要内容
本文研究了采用各种表面处理技术,在卤化物气相外延生长的(001)晶向 β-Ga₂O₃ 外延层上制备的 β-Ga₂O₃ 肖特基势垒二极管(SBD)的性能。所采用的表面蚀刻方法包括两步感应耦合等离子体(ICP)蚀刻、湿法蚀刻以及先进行两步干法蚀刻再湿法蚀刻的方法。通过结合原子力显微镜和 X 射线光电子能谱分析,本文研究发现采用先进行两步 ICP 蚀刻再湿法蚀刻的方法,外延层中的表面粗糙度和氧空位(VO)显著减少。优化后的表面均方根粗糙度为 0.12 nm,并呈现出阶梯流形貌。在优化后的外延层上制备的 SBD 性能得到了全面提升,其击穿电压为 1675 V,接近理想的理想因子为 1.05,功率品质因数为 467 MW/cm2。
创新点
● 研究团队通过优化外延生长参数或表面处理工艺,成功制备出表面极其平整的 β-Ga₂O₃ 外延层,其均方根(RMS)粗糙度得到了显著控制,为构建高质量的肖特基界面奠定了物理基础。
●得益于平整的界面,制备的垂直 SBD 表现出接近理论理想值的理想因子(Ideality Factor)。这意味着载流子在界面处的输运更加符合热发射模型,减少了由缺陷引起的复合电流。
●通过降低表面粗糙度,器件在反向偏压下的电场集中效应得到缓解。实验结果显示,该垂直二极管的反向漏电流得到了数量级上的压制,显著提升了器件在阻断状态下的效率。
●研究证实,平滑的表面有助于获得更均匀的雪崩或隧道击穿分布,避免了局部过早击穿现象,从而使器件能够稳定地工作在更高的电压等级下。
●文章展示的表面优化方案具有良好的可重复性,且能与现有的氧化镓器件制备流程无缝衔接,为未来大规模生产高性能垂直型氧化镓功率开关提供了重要的参考依据。
结 论
综上所述,研究团队研究了经不同蚀刻技术处理的外延层表面的 β-Ga₂O₃ 肖特基二极管(SBD)的特性。干湿表面处理的协同效应对于实现高性能器件至关重要。S4 的外延层表面均方根粗糙度为 0.12 nm,并呈现出阶梯流形貌。经此处理的肖特基二极管表现出最高的击穿电压(1675 V)、接近于 1 的理想因子(1.05)以及最高的势垒高度(1.13 eV),这归因于其更好的表面质量。采用降低表面场(RESURF)结构结合边缘终端将能够进一步提升器件性能。
项目支持
本研究得到了广东省基础与应用基础研究基金(项目编号:2026A1515010747)和深圳平湖实验室项目(项目编号:925050)的支持。

图1. (a)样品 4(S4)的 β-Ga₂O₃ 肖特基二极管(SBD)制造工艺流程。 (b)C-V 特性。 (c)从 1/C2-V 特性中提取的载流子浓度深度分布。

图2. 5×5 μm2 区域的原子力显微镜(AFM)图像,展示了 β-Ga₂O₃ 样品的表面粗糙度和形貌:(a)未经处理的 S1,(b)仅经过两步感应耦合等离子体(ICP)干法刻蚀的 S2,(c)仅经过 BOE 处理的 S3,以及(d)经过两步干法刻蚀加湿法处理的 S4。(e)–(h)S1 - S4 的三维 AFM 成像。

图3. XPS 光谱中样品(a)S1 (14.3 %)、(b)S2 (17 %)、(c)S3 (13.2 %)和(d)S4 (11.6 %)的 OII/(OI + OII)面积比变化。

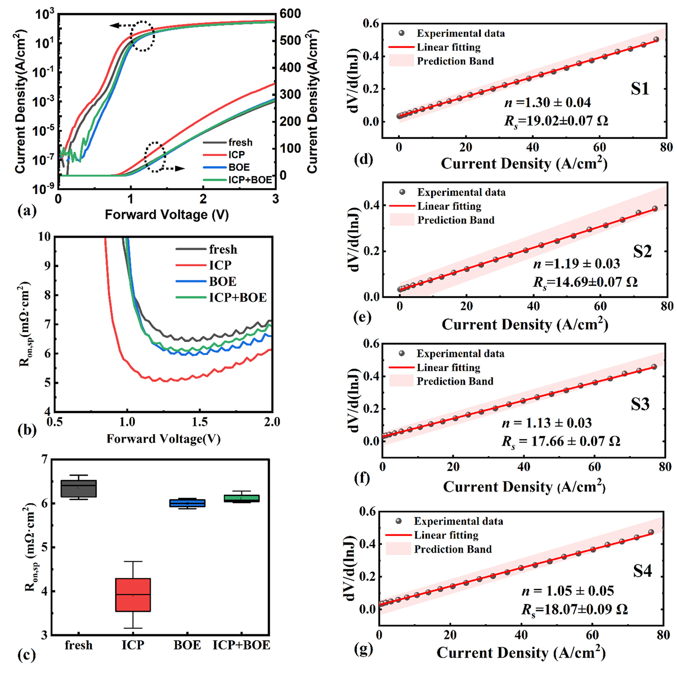
图4. (a)线性与对数正向 J - V 特性。(b)提取的 Ga₂O₃ 肖特基二极管(S1、S2、S3和S4)的最小导通电阻 Ron,sp。(c)提取的导通电阻 Ron,sp 的分布。(d)–(g)提取每个样品(S1-S4)的理想因子 n 和串联电阻 Rs。

图5. (a)四个样品的反向阻断特性。 (b)击穿电压的统计分布。
DOI:
doi.org/10.1116/6.0005270








