【会员论文】西电郝跃院士、张进成教授团队:用于可集成温度传感应用的β-Ga₂O₃肖特基二极管的表征与性能分析
日期:2026-04-10阅读:77
由西安电子科技大学郝跃院士、张进成教授的研究团队在学术期刊IEEE Transactions on Electron Devices发布了一篇名为Characterization of β-Ga₂O₃ SBDs for Integrable Temperature Sensing Applications(用于可集成温度传感应用的β-Ga₂O₃肖特基二极管的表征与性能分析)的文章。
背 景
β-Ga₂O₃ 作为超宽禁带半导体,具备大禁带宽度、高临界电场、可控制备 n 型掺杂与低成本制备等优势,是下一代功率半导体的理想材料。但该材料热导率极低(0.1–0.3 W/(cm・K),约为硅的 1/5),器件自热效应显著,对环境温度变化更敏感。
随着功率器件向集成化、模块化发展,散热问题愈发关键,因此研发可集成的温度传感器,对监测 β-Ga₂O₃ 器件、电路与模块热状态极为必要。二极管常被用作温度传感器,工作在亚阈值区可降低功耗与自热影响;而 β-Ga₂O₃ SBD 具有阈值电压低、结构简单、工艺兼容、功耗低等特点,适合做温度传感器,但专门面向温度传感应用的 β-Ga₂O₃ SBD 研究几乎空白。
主要内容
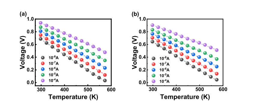
本文制备了可集成的 Ni/β-Ga₂O₃ 与 Pt/β-Ga₂O₃ 肖特基二极管(SBD)温度传感器,通过变温 I–V 测试从温度传感器角度分析器件性能。结果表明,两种 SBD 在298–573 K范围内均表现出优异的温度传感性能;在 10⁻⁸ A 电流下,最高灵敏度分别达2.41 mV/K 与 2.21 mV/K,线性度 R² 均超 0.99。
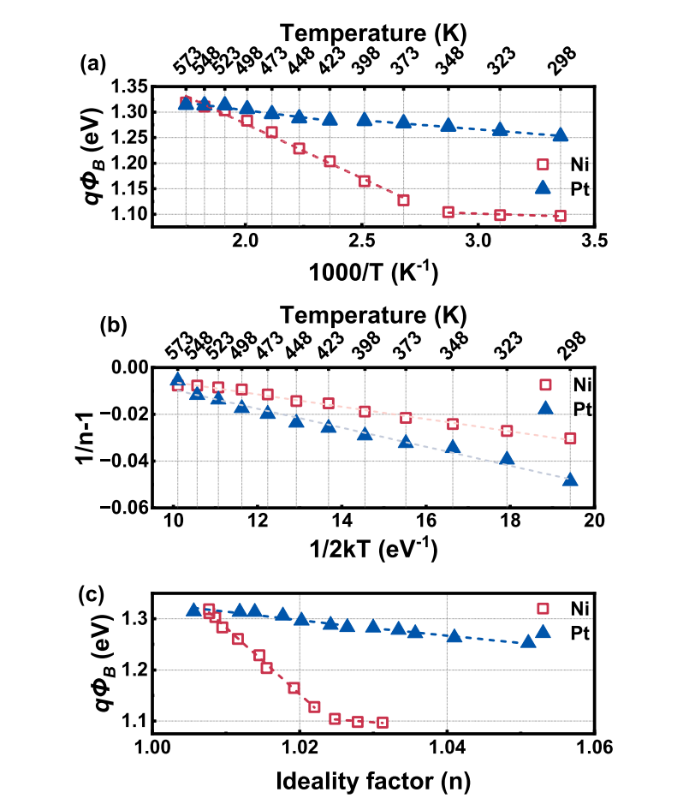
研究基于测试结果分析了肖特基势垒不均匀性,发现 Ni、Pt SBD 的势垒均呈双高斯分布趋势:Ni SBD 在约 348 K 出现转变,Pt SBD 在约 398 K 出现转变;划分温度区间后提取的有效理查森常数与理论值高度吻合。该工作为 β-Ga₂O₃ 器件与温度传感器集成提供了参考,助力未来集成式 β-Ga₂O₃ 温度监测器件开发。
创新点
1. 首次系统验证 β-Ga₂O₃ SBD 用于可集成高温传感:在 298–573 K 宽温域内实现高灵敏、高线性测温,无需特殊结构 / 工艺。
2. 揭示势垒不均匀性规律:首次明确 Ni/Pt 与 β Ga₂O₃ 接触的双高斯势垒分布及温度转变区间,修正了传统热电子发射模型误差。
3. 精准提取有效理查森常数:分区拟合后数值与理论值高度匹配,为 β-Ga₂O₃ 器件参数标定提供可靠方法。
4. 适配功率器件集成:结构简单、工艺兼容,可与 β-Ga₂O₃ 功率开关单片集成,解决其低热导率带来的热监测难题。
结 论
本文制备并表征了 Ni、Pt 垂直结构 β-Ga₂O₃ SBD,经变温 I–V 测试分析肖特基势垒参数,证实势垒不均匀性呈双高斯分布,通过温度分区精准修正了理查森常数。从温度传感角度,两种器件在 298–573 K、10⁻⁸ A 条件下均具备高灵敏度与高线性度(Ni:2.41 mV/K,R²=0.99955;Pt:2.21 mV/K,R²=0.99946)。Ni SBD 灵敏度更高、势垒均匀性更好;Pt SBD 高温下势垒变化更小,高温稳定性更优。
结果证明 β-Ga₂O₃ SBD 具备温度传感器应用潜力,尤其适合未来与 β-Ga₂O₃ 功率开关集成以实现高分辨率温度监测。同时 β-Ga₂O₃ 低热导率需在布局设计中关注传感器位置,避免测温误差,相关应用仍需进一步研究。
项目支持
本项目得到国家青年科学家基金中国(青年科学家基金)62204194和62404116两项资助,以及中国国家重点研究发展计划2021YFB3600900资助。

图 1. (a) 肖特基势垒二极管器件结构的平面示意图;(b) 镍基和铂基肖特基势垒二极管器件的显微图像。

图 2. (a) 镍基肖特基接触型肖特基势垒二极管的电容 - 电压特性;(b) 镍基肖特基接触型肖特基势垒二极管的提取载流子浓度;(c) 铂基肖特基接触型肖特基势垒二极管的电容 - 电压特性;(d) 铂基肖特基接触型肖特基势垒二极管的提取载流子浓度。

图 3. 器件的三维截面示意图及制备工艺流程。

图 4. (a) 镍基与 (b) 铂基肖特基势垒二极管在线性坐标和半对数坐标下的正向电流 - 电压特性及导通电阻。

图 5. (a)–(b) 镍基与 (c)–(d) 铂基肖特基势垒二极管在不同温度下的线性及半对数电流 - 电压特性曲线。

图 6. (a) 肖特基势垒高度ΦB、(b) 理想因子n随温度的变化关系;(c) 三种器件的ΦB与n的关系曲线,其中虚线为拟合线。

图 7. (a) 镍 /β‑氧化镓、(b) 铂 /β‑氧化镓肖特基势垒二极管温度传感器在恒定电流下的正向电压随温度变化曲线。

图 8. 分别利用公式 (8) 提取得到的 (a) 镍基、(b) 铂基肖特基势垒二极管的理查森常数 A∗。

图 9. 考虑肖特基势垒高度(SBH)呈双高斯分布,采用变温电流 - 电压法提取的 (a) 镍基肖特基势垒二极管与 (b) 铂基肖特基势垒二极管的势垒高度。实测结果用符号表示,拟合结果用线条表示。

图 10. 经校正的理查森常数A∗∗、理想灵敏度与实际测试结果的对比图。
DOI:
10.1109/TED.2026.3674070








