【国内论文】山东大学陶绪堂教授、贾志泰教授团队:Sn掺杂β-Ga₂O₃及其与本征空位缺陷复合结构的第一性原理研究
日期:2026-04-17阅读:32
由山东大学陶绪堂教授、贾志泰教授的研究团队在学术期刊人工晶体学报发布了一篇名为First-principles Study on Sn-Doped β-Ga₂O₃ and Its Composite Structures with Intrinsic Vacancy Defect(Sn 掺杂 β-Ga₂O₃ 及其与本征空位缺陷复合结构的第一性原理研究)的文章。
背 景
单斜相氧化镓(beta-Ga₂O₃)作为第四代超宽禁带半导体的代表,拥有约 4.9 eV 的禁带宽度和高达 8 MV/cm 的理论临界击穿场强。其巴利加优值(BFOM)远超第三代半导体 SiC 和 GaN,在高温、高频、高功率电子器件以及深紫外光电器件领域具有巨大的应用潜力。为了实现功率器件的高导电性,必须对 β-Ga₂O₃ 进行有效的 n 型掺杂。在众多的掺杂元素中,锡(Sn)因其原子半径与镓(Ga)原子相近,且在 β-Ga₂O₃ 中具有较低的形成能,成为实现受控 n 型导电最常用的施主杂质之一。在晶体生长和薄膜制备过程中,由于热力学平衡或非平衡工艺,材料内部不可避免地会产生本征空位缺陷,包括镓空位和氧空位。本征空位缺陷通常表现为深能级中心,会捕获自由载流子,从而影响材料的电学平衡。更重要的是,掺杂原子与这些本征空位之间会产生强烈的相互作用,形成稳定的复合缺陷结构。虽然目前对 Sn 单一掺杂已有较多研究,但关于 Sn 原子与不同位点空位缺陷形成的复合结构如何协同影响 β-Ga₂O₃ 的电子能带结构、态密度以及光学特性的系统研究仍然较少。通过理论计算模拟这些复杂结构的演变,对于优化晶体生长工艺、提升器件性能具有重要的指导意义。
主要内容
β-Ga₂O₃ 因超宽禁带和高击穿电场强度,在功率电子器件和日盲紫外光探测器等领域展现出重要应用前景。由于 β-Ga₂O₃ 本征载流子浓度极低,掺杂工程是目前调控其电学与光学性能的主要方式。但在实际晶体生长过程中,各类本征缺陷不可避免地会影响掺杂效果。本文基于第一性原理计算,系统研究了 Sn 掺杂 β-Ga₂O₃ 及缺陷复合体(SnGaII-VGai,SnGaII-VOi)的结构稳定性、电子结构与光学性质。结果表明,Sn 优先占据八面体配位 Ga 位点,相较于占据四面体配位 Ga 位点,该构型能量更低,结构更为稳定。在富氧生长条件下,Sn 掺杂 β-Ga₂O₃ 倾向于形成 SnGaII-VGaII 缺陷复合体;而在富镓生长条件下,则不易形成此类 Sn 掺杂-空位复合结构。此外,引入 VGa 空位缺陷后,体系在红外至可见光波段出现明显的吸收带。本研究揭示了 Sn 掺杂 β-Ga₂O₃ 中缺陷复合体的形成机制及其对光电性能的协同调控作用,为高性能光电子器件与功率器件的设计与优化提供了理论依据。
创新点
•通过计算发现,Sn 原子倾向于取代 β-Ga₂O₃ 中的六配位八面体 Ga2 位点,其形成能低于四配位四面体 Ga1 位点,具有更好的热力学稳定性。
•证实了 Sn 掺杂会在导带底部引入浅施主能级,显著提升费米能级位置,使材料表现出明显的 n 型导电特征。
•研究发现 VGa 会产生明显的能带补偿效应,而 VO 的引入则会进一步改变亚带隙态的分布。
•研究表明 Sn 掺杂及复合缺陷的存在会导致吸收边发生红移,并在深紫外区域产生特征吸收峰。
结 论
本文系统研究了 Sn 掺杂 β-Ga₂O₃ 及其掺杂-缺陷复合体系的晶格畸变、电子结构与光学性质,主要结论如下:1)Sn 原子优先占据八面体配位的 GaII 位点,该构型具有最低的形成能与最小的晶格畸变。2)在各类掺杂–缺陷复合体中,SnGaII-VGaI 与 SnGaII-VOI 构型表现出最低的缺陷形成能,热力学稳定性最高。3)所有掺杂及缺陷构型在富氧生长条件下均呈现更低的形成能,表明通过调控氧化学势可有效抑制或促进特定缺陷的形成,为实验中的缺陷工程提供理论指导。4)通过理论计算预测 SnGaII-VGai 复合体系在可见光至红外波段引入显著的光吸收带,拓展了 β-Ga₂O₃ 在宽光谱光电探测(如可见-红外响应)领域的应用潜力。

图 1 Ga8O12 体系的截断能测试

图 2 β-Ga₂O₃ 晶体结构与 Gai、Oi 位点

图 3 SnGai 及 SnGai-Vi 的缺陷形成能(虚线代表在富镓条件下,点划线代表在富氧条件下)

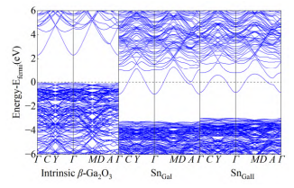
图 4 本征 β-Ga₂O₃、SnGaI、SnGaII 体系的能带结构图

图 5 (a) SnGaI 和 (b) SnGaII 体系的态密度图

图 6 SnGaII-VGai体系的能带结构图

图 7 SnGaII-VGai 体系的态密度图。(a)SnGaII-VGaI;(b)SnGaII-VGaII;(c)SnGaII-farVGaI;(d)SnGaII-farVGaI

图 8 SnGaII-VOi 体系的能带结构图

图 9 SnGaII-VOi体系的态密度图。 (a)SnGaII-VOI;(b)SnGaII-VOII;(c)SnGaII-VOIII

图 10 SnGaII 与 SnGaII-VGaI 体系的差分电荷密度图

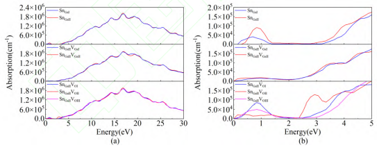
图 11 SNGAI、SNGAII-VGAI、SNGAII-VOI 体系的光吸收谱(a)和其放大图(b)
DOI:
doi.org/10.16553/j.cnki.issn1000-985x.2026.0006












