【国内新闻】电子科技大学功率集成技术实验室罗小蓉课题组在超宽禁带半导体氧化镓器件领域取得研究进展
日期:2023-07-21阅读:1014
半导体材料氧化镓因其超宽禁带和高临界击穿电场,其Baliga功率优值是Si的3444倍,且可通过多种较低成本的熔体法生长高质量、大尺寸的单晶,能够满足新一代电源系统与功率电子装置大功率、高效率和小型化发展需要,且被某国明确列为出口管制,近日,我国也对镓、锗相关物项实施出口管制,因而成为国内外研究的热点和重点。近年来,集成电路学院张波教授领衔的功率集成技术实验室罗小蓉教授课题组开启超宽禁带氧化镓器件研究,在新型氧化镓功率整流管和晶体管及其可靠性研究方面取得一系列新进展,在领域国际权威期刊和顶级会议发表多篇论文,授权多项专利。
一、氧化镓功率器件
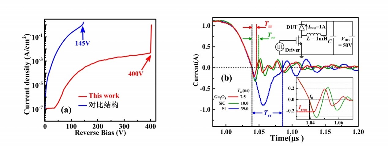
针对氧化镓功率器件的击穿电压远低于理论极限且难以实现增强型器件的技术难点,项目团队提出4个新结构,提高整流器件耐压并降低开启电压,提高晶体管阈值电压并降低反向导通压降。研制具有空气桥场板和热氧化终端复合结构的氧化镓肖特基势垒二极管(CT SBD)[1],与无复合终端结构的器件相比,击穿电压提高176%,且反向恢复时间相较于商用SiC和Si二极管分别降低25%和81%。研制具有NiO/氧化镓异质结和场板的氧化镓结势垒肖特基二极管(FP JBSD)[7],在3000分钟高温应力前后,FP JBSD的正向I-V、C-V特性和击穿电压几乎不变。提出具有Fin沟道、欧姆接触阳极和复合场板的无结二极管(FOCF Diode)[2],实现0.45V低开启电压;并将该氧化镓无结二极管与FinFET兼容集成,使得阈值电压和反向导通电压可以单独控制,获得兼具低反向导通电压0.45V和高阈值电压1.6V的增强型氧化镓RC-FinFET [3],增强其在高功率和低损耗功率转换系统中的应用潜力。

图1 CT SBD和对比结构的(a)耐压测试对比和(b)反向恢复特性测试对比

图2 FP JBSD高温应力前后正向I-V特性

图3 FOCF二极管和对比结构的正向I-V特性

图4 (a)RC-FinFET结构示意图和(b) RC-FinFET与C-FinFET的反向导通性能对比
二、氧化镓 FETs可靠性
超宽禁带氧化镓器件有望在大功率和高温等极端环境下工作,因此研究氧化镓器件在电场和热场下等多物理场下缺陷响应机制对于推进其应用至关重要。团队系统性的分析了氧化镓 MOSFET在电-热应力下的不稳定性,揭示了电场、热场下的退化机制和物理模型。研究发现正偏压应力会使氧化层中的边界陷阱捕获电子导致VGS-IDS曲线正向漂移,随着环境温度的升高,迟滞分析发现深受主界面态逐渐被激活并参与捕获过程,与边界陷阱一起导致器件发生更加严重的VGS-IDS曲线漂移[4]。与正偏压应力不同,常温负偏压应力下边界陷阱、界面态和体陷阱三者共同作用导致氧化镓 MOSFET性能的退化,提出的电离陷阱模型解释了正/负偏压应力下的非统一机制,并通过仿真验证了模型的准确性[5]。研究了NiO/β-氧化镓异质结栅FET在不同应力电压和应力时间下的退化机制,发现在负偏压应力下存在两种不同的退化机制,这为NiO/β-氧化镓异质结器件开发可靠性加固技术提供理论指导[6]。

图5 Ga2O3 MOSFET (a)常温正偏压应力下的VGS-IDS曲线;(b)随着温度上升深受主界面态被激活引起的迟滞变化和(c)125℃正偏压应力下的VGS-IDS曲线

图6 Ga2O3 MOSFET(a)在正/负偏压应力下三种陷阱密度的变化;实验和仿真的VGS-IDS曲线拟合在(b)正/(c)负偏压应力下

图7 NiO/β-Ga2O3异质结栅FET(a)在负偏压应力下的VGS-IDS曲线(b)提取的VTH及VGS-IGS曲线
罗小蓉教授课题组自2021年以来,牵头和参与了2项国家某科技计划重点项目,其中1项电子科技大学作为牵头单位,罗小蓉作为技术首席,与国内在超宽禁带半导体氧化镓材料与器件领域的一流团队如中电集团第13研究所、西安电子科技大学、中国科学技术大学等单位紧密合作,项目取得系列重要进展。
原文链接:
[1] https://ieeexplore.ieee.org/document/9392264
[2] https://ieeexplore.ieee.org/document/9975152
[3] https://ieeexplore.ieee.org/document/10130497
[4] https://ieeexplore.ieee.org/document/9831113
[5] https://ieeexplore.ieee.org/document/9882012
[6] http://www.jos.ac.cn/en/article/id/b242a0ef-b389-4569-b50d-cc004066034c
[7] https://ieeexplore.ieee.org/document/9813623

