【国内论文】AlN/β-Ga₂O₃ HEMT直流特性仿真
日期:2024-09-06阅读:758
近日,西安理工大学自动化与信息工程学院贺小敏等在《人工晶体学报》2024年第5期发表了题为《AlN/β-Ga2O3 HEMT直流特性仿真》的研究论文。该论文利用器件仿真软件对AlN/β-Ga2O3高电子迁移率晶体管(HEMT)器件的直流特性进行研究。AlN具有很强的极化效应,可以在AlN/β-Ga2O3异质结界面处产生高浓度二维电子气(2DEG),使AlN/β-Ga2O3异质结基HEMT具有更加优越的器件性能。理论计算得到AlN/β-Ga2O3异质结界面处产生的面电荷密度为2.75×1013 cm-2。文章通过分析器件的能带结构、沟道电子浓度分布,研究AlN势垒层厚度、栅极长度、栅漏间距,以及金属功函数等参数对器件转移特性和输出特性的影响。
AlN/β-Ga2O3 HEMT器件结构如图1所示,衬底材料为β-Ga2O3,源极长度(ls)、漏极长度(ld)和栅极长度(lg)均为0.5 μm,栅源间距(lgs)为1 μm,栅漏间距(lgd)为2 μm。AlN势垒层厚度为10 nm,β-Ga2O3缓冲层厚50 nm。

图1 AlN/β-Ga2O3 HEMT结构图
AlN势垒层厚度(tAlN)是HEMT器件的重要结构参数,对器件的能带结构、2DEG密度有影响。仿真过程中漏源电压(VDS)设置为15 V,tAlN分别为10、15、20和25 nm。不同AlN势垒层厚度的器件特性如图2所示。

图2 不同AlN势垒层厚度器件特性
从图2(a)所示的转移特性曲线可以看出,势垒层厚度为10、15、20和25 nm时,器件阈值电压分别为-3.7、-6.3、-8.8 和-11.4 V,表明随着AlN势垒层厚度的增大,曲线向负向移动,阈值电压减小。从图2(b)可以看出,随着AlN势垒层厚度的增加,沟道电子浓度持续增加。同时,从图2(a)中可以发现,跨导(Gm)随着势垒层厚度而变化,最大跨导分别为271、251、228和217 mS/mm。随着AlN势垒层厚度的增加,最大跨导减小,这说明栅极电压对输出电流的控制能力减弱。从图2(c)输出特性曲线可以看到,当AlN厚度为10、15、20、25 nm时,饱和漏电流(IDsat)分别为0.8、1.3、1.8、2.2 A/mm。这说明随着AlN厚度的增加,饱和漏电流增大。从上述分析可得,AlN即使未经掺杂,也可以在AlN/β-Ga2O3异质结处β-Ga2O3一侧形成浓度高达1020 cm-3量级的电子气。调控AlN势垒层厚度,可以调节异质结界面处的能量阱深度和沟道电子浓度,从而实现对阈值电压的调控。
AlN/β-Ga2O3 HEMT的栅极长度(lg)对器件直流特性的影响如图3所示。仿真过程中漏源电压(VDS)设置为15 V,lg分别为0. 1、0. 3、0. 5、0. 7、0. 9 μm,同时为了保持器件横向尺寸不变,不同栅极长度对应的栅漏间距(lgd)分别为2. 4、2. 2、2. 0、1. 8、1. 6 μm。

图3 不同栅极长度器件特性
从输出特性曲线得到,栅长分别为0. 9、0. 7、0. 5、0. 3、0. 1 μm 时,导通电阻分别为6. 8、6. 6、6. 4、6. 2、6. 0 Ω·mm。导通电阻随栅长的缩短而减小,这是由栅下沟道电子浓度增加使栅极电阻减小引起的。从输出特性曲线还可以看出,当栅极长度较长时,器件饱和漏电流(IDsat)基本保持不变,但随栅极长度缩短至0.1 μm时,器件的漏极饱和电流随着漏源电压(VDS)的增大而增大。即器件的输出电导随栅极长度的缩短而增大,导致器件的饱和特性变差,表明器件出现了短沟道效应。
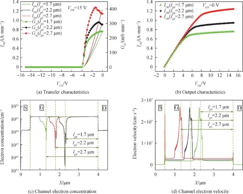
AlN/β-Ga2O3 HEMT器件栅极位置对器件直流特性的影响如图4所示。固定栅极长度为0.3 μm,漏源电压(VDS)设置为15 V,栅漏间距(lgd)分别为1.7、2.2、2.7 μm,对应的栅源间距(lgs)分别为1. 5、1. 0、0. 5 μm。

图4 不同栅漏间距的器件特性
从图4(a)转移特性曲线可以看出,不同栅漏间距的阈值电压均为-3.8 V。阈值电压不随栅漏间距的变化而变化。栅源电压(VGS)设置为0 V,栅漏间距(lgd)分别为1.7、2.2、2.7 μm时,输出特性如图4(b)所示。从输出特性曲线可以得到,栅漏间距(lgd)分别为1.7、2.2、2.7 μm时,饱和漏电流分别为0.8、0.9、1.2 A/mm。器件的漏极电流与沟道电子浓度和沟道电子速度成正比。随栅漏间距的增加,沟道区电子浓度不变,而电子速度略有增加,因此饱和漏电流增大,如图4(c)和(d)所示。
本节通过改变栅金属的功函数(Wm)探究肖特基栅金属类型对器件直流特性的影响。设置肖特基栅金属功函数分别为5.15、5.46 和5.65 eV,得到的器件特性如图5所示。

图5 不同栅金属功函数器件特性
从图5(a)转移特性曲线可以看出,肖特基栅金属功函数分别为5.15、5.46和5.65 eV时,阈值电压分别为-3.8、-3.3和-2.8 V。从阈值电压的表达式可以看出,肖特基栅金属功函数的增加会增大阈值电压。从图5(b)输出特性曲线可以看出,肖特基栅金属功函数分别为5. 15、5.46和5. 65 eV时,最大饱和漏电流分别为1.2、1.0和0.8 A/mm。肖特基栅金属与AlN势垒层接触时,由于AlN势垒层的费米能级高于栅金属的费米能级,AlN势垒层中的电子会向金属流动,使AlN势垒层表面带正电,金属表面带负电,形成从AlN指向金属的电场,加强了极化电场。肖特基栅金属与AlN费米能级之差越大,AlN表面的电场越强,对极化的加强作用越大,AlN能带倾斜程度越大,如图5(c)所示。能带倾斜越大,类施主表面态电离程度越小,为沟道提供的2DEG浓度越小,如图5(d)所示。
结论
本文通过理论计算得到在自发极化和压电极化的共同作用下,AlN/β-Ga2O3异质结界面产生的面密度电荷为2.75×1013 cm-2,这与AlGaN/GaN HEMT器件2DEG面密度在同一数量级。然后,围绕AlN/β-Ga2O3 HEMT器件的直流特性展开研究,通过对AlN势垒层厚度、栅极长度、栅极位置和肖特基栅金属类型的电学分析得到:器件的跨导随AlN势垒层厚度的增加、栅极长度的缩短和栅漏间距的增长而逐渐增大,其中栅极长度对其影响最大;随肖特基栅金属功函数的增大,器件的阈值电压向正向漂移,饱和漏电流减小。研究器件结构参数对器件性能的影响,为后续器件的设计和改进提供了理论依据。
链接:http://rgjtxb.jtxb.cn/CN/Y2024/V53/I5/766

