【International Papers】Density and fractality of collision cascades in α-Ga₂O₃
日期:2025-11-05阅读:337
Researchers from the Peter the Great St.-Petersburg Polytechnic University have published a dissertation titled "Density and fractality of collision cascades in α-Ga2O3" in Applied Physics Letters.
Background
It is well known that functionalities and efficiency of devices can be extended or tuned by the incorporation of defects, which is particularly important for quantum technologies or radiation-hard electronics. Therefore, theoretical and experimental research on formation and properties of intrinsic and extrinsic defects in crystalline materials has been experienced a fast growing interest during the past decades. For that matter, ion irradiation is an established technological tool to introduce defects into crystalline materials and devices. Meanwhile, the formation and evolution of the radiation-induced defects depend on a range of parameters, with the collision cascades density playing the prime role. Thus, understanding of physics governing cascades density has been used to control the disorder formation in many solids.
Abstract
Control over radiation defect generation is essential while applying ion-beam technology to materials. In this work, we study disorder formation in rhombohedral polymorph of gallium oxide (α-Ga2O3) as a function of the bombarding ion mass. As such, we discriminate the impact of the collision cascades density, specifically its impact on the surface amorphization rates in α-Ga2O3. Importantly, along with collecting experimental data, we calculated collision cascades parameters using different algorithms based on the binary collision approximation predicting disorder accumulation trends observed in the experiments. Furthermore, we showed that collision cascades in α-Ga2O3 can be modeled within a fractal geometry framework, correlating fractal dimension with the collision cascade density. These results enhance the understanding of radiation defects in Ga2O3 polymorphs, applicable in the development of the ion beam technology in these interesting materials.
Conclusion
In conclusion, the role of the collision cascade density on the disorder formation in α-Ga2O3 was investigated for room temperature implants. Combining experimental and theoretical approaches, we demonstrate that collision cascade density is a crucial parameter affecting the surface amorphization induced by atomic and cluster ion bombardments. Specifically, the rate of surface amorphization increases with increasing collision cascade density, which is a function of ion mass as well as cluster size. Furthermore, the apparent localization of amorphous/crystalline interface affects the defect balance deeper in the crystal, leading to the non-trivial disorder accumulation trends in this region, e.g., lowering disorder level with increasing ion mass. In addition, we demonstrated that collision cascades in α-Ga2O3 can be modeled within a fractal geometry framework, correlating fractal dimension with the collision cascade density. As such, the prediction made by Winterbon et al. envisaged “that at some time the knowledge of fractals will become useful in further understanding some aspects of collision cascades,” has been finally proven by demonstrating advantages of the fractal analysis for understanding of the complex radiation phenomena in α-Ga2O3 in this paper. The obtained results enhance the understanding of radiation defects in Ga2O3 polymorphs, applicable in the development of the ion beam defect engineering in these materials.

FIG. 1. (a) Relative disorder vs depth profiles in α-Ga2O3 implanted with different ions to the fluences corresponding to 3 dpa. (b) Depth distributions of total vacancies (nv) generated in Ga2O3 by different ions and (c) 2D projections of random individual collision cascades produced by one 40 keV P and two 25 keV F ions emulating PF2 cluster in α-Ga2O3, as simulated by the SRIM code. The equation in panel (b) describes the methodology of dpa calculation for cluster ions, where nvmax is a maximum nv value from panel (b), while nat is the atomic density of α-Ga2O3.

FIG. 2. Summary of the cascade density calculation in α-Ga2O3 with the basic algorithm. (a) Projection of the individual collision cascades produced by 120 keV Xe ions as calculated by the SRIM code simulations. (b) Average density of individual collision cascades (q) formed in the target and (c) fraction of ions (g) producing at least one sub-cascade within 5 nm of a given depth.

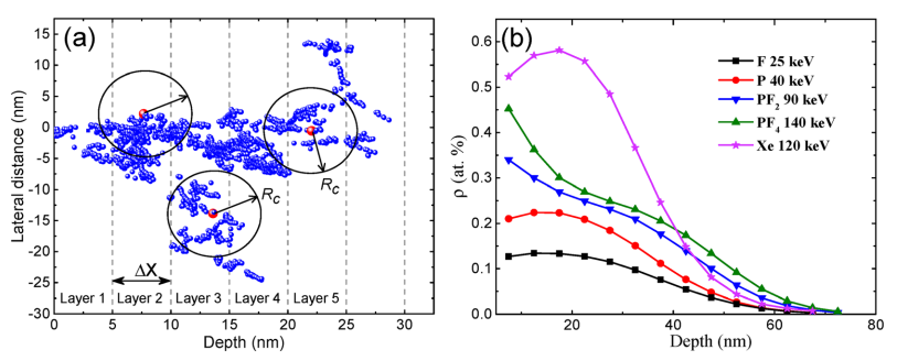
FIG. 3. Approach and the data of cascade density calculation using the advanced algorithm. (a) Projection of individual collision cascades identical to that in Fig. 2(a). (b) Collision cascades density (ρ) as a function of depth for different ions, as indicated in the legend.

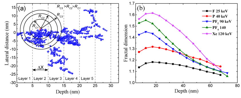
FIG. 4. Approach and the data of the fractal analysis for collision cascades in α-Ga2O3. (a) Projection of individual collision cascades identical to that in Fig. 2(a). (b) Fractal dimension as a function of depth for different ions as indicated in the legend.

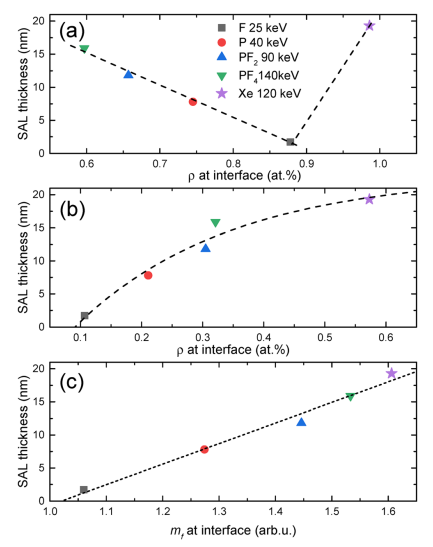
FIG. 5. Surface amorphous layer thickness in α-Ga2O3 as a function of three parameters taken at the SAL/crystal interface: (a) and (b) the collision cascades density calculated by the (a) basic and (b) advanced algorithms, respectively, as well as (c) the fractal dimension. Lines are to guide the eye.
DOI:
doi.org/10.1063/5.0288966







