【Member Papers】Strong phonon scattering and suppressed thermal transport induced by oxygen vacancy in β-Ga₂O₃ elucidated via machine learning
日期:2026-03-23阅读:10
Researchers from the Naning University of Posts and Telecommunications have published a dissertation titled "Strong phonon scattering and suppressed thermal transport induced by oxygen vacancy in β-Ga2O3 elucidated via machine learning" in Science China Technological Sciences.
Background
Accurate calculation of high-order anharmonic phonon properties in crystalline materials requires prohibitively large computational resources, which directly hinders systematic investigation into phonon scattering and lattice thermal conductivity (LTC) in β-Ga2O3 LTC, a key mode of heat transfer in semiconductors, is a critical factor governing device performance, particularly under high-temperature and high-power conditions. As a new-generation wide-bandgap semiconductor, β-Ga2O3 has garnered considerable attention. With its exceptional thermal stability, robust radiation resistance, and ultrahigh breakdown field strength, β-Ga2O3 demonstrates strong potential in optoelectronics, power electronics, and radio-frequency devices. Nevertheless, its low room-temperature LTC, ranging from ~11 to 27 W/mK, poses a major limitation to its application under high-temperature and high-power conditions. Furthermore, β-Ga2O3 has been reported to preferentially form oxygen vacancies during crystal growth. These vacancies introduce additional energy levels, alter carrier concentration, act as recombination centers, provide new transition paths, and consequently modify the optoelectronic properties. More importantly, lattice vacancies have been widely demonstrated to suppress thermal conductivity by enhancing phonon scattering. Therefore, it is expected that oxygen vacancies in β-Ga2O3 will have a pronounced impact on its thermal transport properties.
In recent years, the rapid development of machine learning (ML) has provided the scientific community with entirely new methods for exploring microscopic physical processes. By accurately reproducing the results of quantum mechanics, ML-based models can achieve quantum-level accuracy with minimal computational cost and enable reliable extrapolation to unexplored configurations.
Abstract
Abstract Accurate evaluation of high-order anharmonic interactions in complex crystalline systems requires prohibitively large computational resources, limiting mechanistic insight into defect scattering and the resulting suppression of thermal conductivity in β-Ga2O3. In this study, machine learning-accelerated first-principles calculations were used to evaluate both harmonic and anharmonic phonon properties over a broad range. This approach incorporates both phonon-phonon and defect scattering within a unified framework. Oxygen vacancies lead to a pronounced phonon redshift, a sharp reduction in phonon group velocity, and a substantial decrease in phonon lifetime, collectively indicating strong defect-induced phonon scattering. As the vacancy concentration increases, phonon frequencies and lifetimes exhibit an approximately linear downward trend. Concurrently, the available phase space and anharmonic matrix elements associated with low-frequency phonon scattering are enhanced. These combined effects result in a rapid suppression of the lattice thermal conductivity and phonon mean free path, particularly in the low-frequency transport regime. This study not only avoids the theoretical limitations associated with calculating high-order anharmonic terms but also systematically quantifies the degradation of thermal conductivity with increasing vacancy concentration, thereby elucidating the microscopic mechanisms governing defect-induced anharmonicity and advancing the understanding of anharmonic lattice dynamics in β-Ga2O3.
Highlights
A Bayesian regression-based on-the-fly machine learning molecular dynamics (OTF-MLMD) scheme was developed. The constructed machine learning force field (MLFF) simultaneously captures the structural characteristics of β-Ga2O3 with varying oxygen vacancy concentrations (1.67%–25%), distinct vacancy sites (VaO1/VaO2/VaO3) and vacancy clusters. Validated through training and test processes, the MLFF is free from overfitting, and its prediction accuracy for energy and force is comparable to that of first-principles calculations.
The MLFF was utilized to accelerate molecular dynamics simulations, thus circumventing the computational bottleneck of the traditional finite displacement (FD) method in calculating high-order anharmonic force constants. The MLFF enables efficient simulations of large supercells containing 2500 atoms, and extracts anharmonic properties such as phonon linewidth and frequency from MD trajectories, realizing the calculation of anharmonic phonons in β-Ga2O3 systems with a wide range of oxygen vacancy concentrations.
For the first time, the differential effects of oxygen vacancy concentration, specific sites and cluster forms on the phonon properties of β-Ga2O3 were systematically quantified. The dominant role of oxygen vacancies in phonon scattering was identified, and the regulatory mechanism of oxygen vacancies on anharmonic scattering was elucidated.
Conclusion
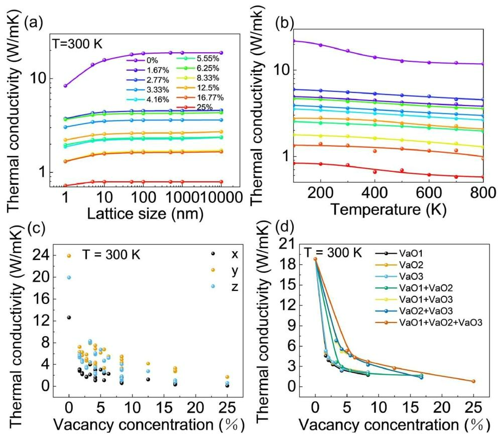
In summary, this work evaluates phonon-phonon and pho non-defect scattering within a unified physical framework using MD simulations accelerated by the MLFF developed in this study. The influence of oxygen vacancies on the anharmonic phonon properties and thermal transport of β-Ga2O3 is systematically investigated across a wide con centration range. The results demonstrate that the introduction of oxygen vacancies induces a redshift and localization of phonons. Simultaneously, phonon group velocities de crease sharply, and strong phonon-defect scattering emerges, leading to substantially reduced phonon lifetimes. Notably, the mere presence of oxygen vacancies is sufficient to generate pronounced phonon-defect scattering. These processes are accompanied by a simultaneous increase in both the scattering phase space and the AME for low-frequency phonons. Collectively, these effects result in a significant reduction of the LTC of β-Ga2O3, while its intrinsic anisotropy remains largely unchanged. Quantitatively, as the oxygen vacancy concentration increases from 0% to 25%, the average LTC at 300 K decreases from 18.8 to 0.79 W/mK. By developing a reliable MLFF, this study circumvents the theoretical limitations associated with calculating high-order anharmonic terms in complex systems, explores the macroscopic effects of oxygen vacancies on thermal transport in β-Ga2O3 over an extended concentration range, and provides deeper microscopic insights into the underlying physics of phonon scattering.

Figure 1 (a) Schematic diagram of the β-Ga2O3 primitive cell. (b) Phonon dispersion curve and density of states of the β-Ga2O3 primitive cell. (c) Schematic diagram of the β-Ga2O3 unit cell and different equivalent oxygen vacancies. (d) Schematic diagram of the three dimensions used to and (f) state during on-the-fly machine learning molecular dynamics. construct the models: vacancy concentration, number of vacancies within a single cell, and equivalent vacancy positions. Example diagram of (e) temperature

Figure 2 (a), (b) Bayesian error and root mean square error of energy and force during the training process. (c), (d) Linear regression plot of energy and force between first principles and machine learning force field in the training set. (e), (f) Linear regression plot of energy and force between first principles and machine learning force field in the test set.

Figure 3 Phonon dispersion curves of β-Ga2O3 oxygen vacancy structures at the lowest vacancy concentration and when imaginary frequencies first appear with (a), (b) single, (c), (d) two, and (e), (f) three equivalent positions per unit cell.

Figure 4 (a) Overall normalized phonon density of states counter plot at different oxygen vacancy concentrations. (b) Normalized Phonon density of states at low frequency and (c) phonon participation rate of some specific oxygen vacancy concentrations.

Figure 5 The anharmonic phonon (a) density of states, (b) group velocity, and (c) lifetime at a specific temperature of the β-Ga2O3 with 12.5% oxygen vacancy concentration.

Figure 6 The anharmonic phonon (a) density of states, (b) group velocity, and (c) lifetime of the β-Ga2O3 with different oxygen vacancy concentration at 300 K.

Figure 7 The temperature and vacancy concentration dependent (a) median phonon frequency and (b) lifetimes. The (c) median phonon frequency and (d) lifetimes of different equivalent oxygen vacancies.

Figure 8 Phonon scattering phase space frequency distributions of (a) 3-phonon process and (b) 4-phonon process under different oxygen vacancy concentrations. Anharmonic matrix elements of (c) 3-phonon process and (d) 4-phonon process. Proportions of Umklapp processes in (e) 3-phonon process and (f) 4-phonon process under different equivalent oxygen vacancies.

Figure 9 (a) Phonon free path at 300 K of β-Ga2O3 with different vacancy concentrations. (b) Temperature and vacancy concentration dependent phonon mean free path. (c) Vacancy concentration-dependent phonon mean free path of different β-Ga2O3 structures with different equivalent oxygen vacancies.

Figure 10 (a) Lattice size and (b) temperature-dependent average thermal conductivity of β-Ga2O3 with different oxygen vacancy concentrations. (c) Anisotropic thermal conductivity with different oxygen vacancy concentrations at 300 K. (d) Average thermal conductivity of β-Ga2O3 with different equivalent oxygen vacancies.
DOI:
doi.org/10.1007/s11431-025-3201-x















