【Member Papers】Plasmon-Enhanced Performance in Self-Powered Solar-Blind CuCrO₂/β-Ga₂O₃ Heterojunction Photodetectors With Al Nanoparticles
日期:2025-10-27阅读:367
Researchers from Xiamen University in China have published a dissertation titled "Plasmon-Enhanced Performance in Self-Powered Solar-Blind CuCrO2/β-Ga2O3 Heterojunction Photodetectors With Al Nanoparticles" in the IEEE Sensors Journal.
Project Support
This work is supported by the National Natural Science Foundation of China under Grant 62171396.
Background
β-Ga2O3 with excellent thermal chemical stability has a large bandgap of around 4.9 eV, which is considered to be the most suitable material to construct self-powered solar-blind photodetectors (PDs). Among self-powered β-Ga2O3 PDs with a variety of structures, heterojunction PDs with a higher responsivity (R) and faster response speed become a more commonly used device. This is due to the fact that p-type β-Ga2O3 is hard to obtain, and thus, different p-type materials (such as CuCrO2, etc.) were generally used to realize the heterojunction PDs with n-type β-Ga2O3. However, these devices still suffer from relatively low R and low external quantum efficiency (EQE) due to the restrictions of carrier blocking from unideal band alignment, which largely limits their practical applications. As one of the most important classes of plasmonic NPs, Al nanoparticles (NPs) can produce the localized surface plasmon resonance (LSPR) effect and the localized electric field, which is an efficient pathway to improve the performance of the PD owing to its ability to enhance the efficiency of carrier injection. What is more, the combined effect of the LSPR effect and localized electric fields can increase the generation rate and separation speed of photogenerated carriers, which is expected to improve the carrier blocking caused by unideal band alignment, thus overcoming the plight of β-Ga2O3-based heterojunction PDs.
Main Content
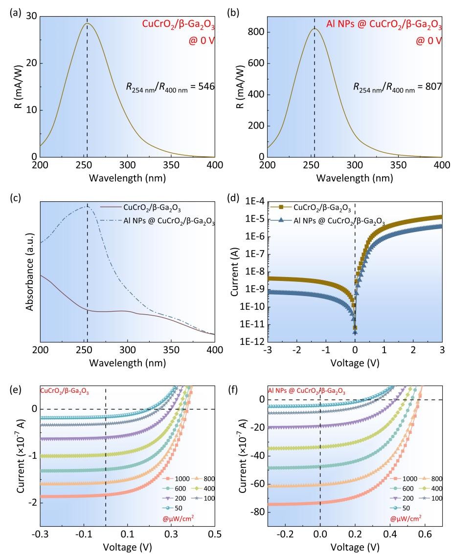
The research team demonstrates for the first time the significantly improved performance of self-powered solar-blind CuCrO2/β-Ga2O3 heterojunction PDs by innovatively introducing Al NPs prepared by a facile electron beam evaporation technology with the subsequent high-temperature annealing technique. At a 0 V bias, the dark current of the PD with Al NPs is only 3.67 pA, which is 1.8 times lower than that of the PD without Al NPs with a value of 6.7 pA. The highest R, detectivity (D*), and EQE are 28.53 mA/W, 2.07 × 1012 Jones, and 14.0% for the PD without Al NPs, while 0.82 A/W, 8.09 × 1013 Jones, and 402.8% for the PD with Al NPs, exhibiting an increase by 28.9, 39, and 28.9 times, respectively. Obviously, R, D*, and EQE are significantly improved in CuCrO2/β-Ga2O3 PDs with Al NPs, which outperform most reported β-Ga2O3-based heterojunction PDs. The improvement mechanism on the performance of the CuCrO2/β-Ga2O3 PD with Al NPs can be attributed to the following: under the 254 nm illumination, the LSPR effect and the localized electric field produced by Al NPs improve the efficiency of hole injection. Moreover, the combined effect of the LSPR effect and localized electric fields can not only accelerate the generation rate of photogenerated carriers but also improve the separation speed of photogenerated carriers. The above effects arising from the LSPR effect and localized electric fields contribute to a larger photocurrent, resulting in the improvement of the performance of the PD.
Conclusion
High-performance self-powered solar-blind CuCrO2/β-Ga2O3 heterojunction PDs with Al NPs obtained by a facile electron beam evaporation with a consequent high-temperature annealing process are fabricated and investigated. Compared with the CuCrO2/β-Ga2O3 PD without Al NPs, the R, D*, and EQE of the CuCrO2/β-Ga2O3 PD with Al NPs are greatly improved by 28.9, 39, and 28.9 times, respectively. These PDs exhibit a low dark current of 3.67 pA, a high R of 0.82 A/W, a high D* of 8.09 × 1013 Jones, and a high EQE of 402.8%, which can be compared favorably with that of most reported β-Ga2O3-based heterojunction PDs. Such brilliant performances could be attributed to the localized electric field and the LSPR effect produced by the Al NPs, which is conducive to enhancing the efficiency of hole injection and increasing the generation rate and separation speed of photogenerated carriers. This study suggests that using Al NPs to modify the surface of the device is an effective and easy-to-controlled method to improve the performance of solar-blind PDs.

Fig. 1. (a) XRD patterns of the CuCrO2/β-Ga2O3 films without and with Al NPs. The inset shows the XRD patterns when 2θ ranges from 35° to 40°. (b) Schematic of the CuCrO2/β-Ga2O3 PDs with Al NPs. SEM images of CuCrO2 (c) without and (d) with Al NPs. (e) Dark current and photocurrent of the CuCrO2/β-Ga2O3 PDs with Al NPs at different evaporation times. (f) Photo-to-dark-current ratio of the CuCrO2/β-Ga2O3 PDs with Al NPs at 0 V with various evaporation times.

Fig. 2. Spectral responses of the CuCrO2/β-Ga2O3 PDs (a) without and (b) with Al NPs at 0 V. (c) Absorption spectrums of the CuCrO2/β-Ga2O3 films without and with Al NPs. (d) Dark current of the CuCrO2/β-Ga2O3 PDs with and without Al NPs. I-V curves of the CuCrO2/β-Ga2O3 PDs (e) without and (f) with Al NPs under 254 nm illumination with various intensities.

Fig. 3. Dependence of PDCR&R of the CuCrO2/β-Ga2O3 PDs (a) without and (b) with Al NPs on different light intensities. The dependence of D*&EQE of the CuCrO2/β-Ga2O3 PDs (c) without and (d) with Al NPs on different light intensities.

Fig. 4. Schematic band diagram of the Al NPs/CuCrO2 Schottky junction, in which "e" represents the electron and "h" represents the hole.
DOI:
10.1109/JSEN.2024.3491799









