【International Papers】Tuning of crystal structure and electronic band gap of the monoclinic Ga₂O₃ by simultaneous alloying with Al₂O₃ and In₂O₃
日期:2025-11-05阅读:380
Researchers from the Lviv Polytechnic National University have published a dissertation titled " Tuning of crystal structure and electronic band gap of the monoclinic Ga2O3 by simultaneous alloying with Al2O3 and In2O3" in Scientific Reports.
Background
Gallium oxide (Ga2O3) is a well-established ultra-wide bandgap semiconductor that has attracted considerable interest due to its exceptional properties, including a large bandgap of about 4.9 eV, a high breakdown field of 8 MV/cm, and excellent thermal stability (see Zhang et al.1 and references therein). These properties position Ga2O3 as a highly promising material for diverse applications, including high-power electronic devices, solar-blind ultraviolet (UV) photodetectors and scintillators. Ga2O3 exists in several structural polymorphs, including the corundum-like (α), monoclinic (β), defective spinel (γ), and two variations (ε and δ) of orthorhombic structure. Among these, the monoclinic phase (β-Ga2O3) stands out as the most prevalent as it is the most thermodynamically stable and, hence, readily obtainable under ambient conditions..
Monoclinic β-Ga2O3 has a direct bandgap of 4.87 eV with a small contribution of indirect transitions of 4.83 eV. The valence band is mainly formed by the occupied O 2p derived states slightly hybridized with Ga 3d, 4p, and 4 s orbitals, while the conduction band is mainly composed of Ga 4 s derived states (see Zhang et al. and references therein for details).
When activated with Cr3+ ions, β-Ga2O3 produces a broad and efficient near-infrared (NIR) emission at about 750 nm suitable for NIR tunable lasers, NIR phosphor-converted light-emitting diodes (pc-LEDs), high pressure and temperature sensors..
Abstract
The paper presents the study of phase and structural behavior of pseudoternary compound (Ga1-x-yInxAly)2O3 with focus on the compositional cross-section where the x/y ratio is a fixed at 0.31/0.69. This specific ratio ensures that the average cation radius, equal to that of Ga3+ ions, remains unchanged. Through the combination of experimental XRD studies and DFT calculations, the stability region of the monoclinic phase within the Ga2O3–Al2O3–In2O3 ternary system was established. Detailed analysis of the crystal lattice parameters and unit cell volume of the monoclinic structure was carried out across a wide range of compositions. An empirical relationship was derived linking the monoclinic lattice parameters to the average ionic radius of the cations (Ga3+, Al3+, In3+) enabling prediction of lattice parameters in monoclinic (Ga1-x-yInxAly)2O3 solely from chemical composition. The experimental crystal structure studies and the electronic structure calculations suggest that in the monoclinic (Ga1-x-yInxAly)2O3 structure the tetrahedral positions of Ga1 atoms are preferentially occupied by Ga3+ and Al3+ cations, while the octahedral Ga2 sites accommodate a mixture of Ga3+, Al3+ and In3+ cations. Additionally, the presence of unidentified phase(s) was confirmed in the central region of the Ga2O3–Al2O3–In2O3 triangle. Comparison of the calculated optical absorption spectra and the Tauc-plots derived from the diffuse reflectance spectra indicate that the monoclinic (Ga1−x−yInxAly)2O3 compounds have a direct band gap.
Conclusions
The phase and structural behavior in the Ga2O3–Al2O3–In2O3 pseudoternary system has been studied in detail trough the experimental XRD studies of over 50 microcrystalline samples prepared by the solution combustion method. For the first time, the range of existence of a doubly substituted monoclinic solid solution (Ga1-x-yInxAly)2O3 with varying x and y values was established, and a complete set of crystal structure parameters was determined.
Special attention was given to the compositional cross-section with a fixed x/y ratio of 0.31/0.69, i.e. corresponding to the (Ga1-zAl0.69*zIn0.31*z)2O3 compositions, which ensures the maintenance of the average cation radius equal to that of Ga3+ ions. It has been confirmed that a single-phase monoclinic structure in this series exists in the concentration range 0 ≤ z ≤ 0.4. At higher In(Al) contents, diffraction peaks of unknown phases appear in the X-ray patterns, which gradually increase with decreasing gallium content in the Ga1-zAl0.69*zIn0.31*z)2O3 and become dominant at compositions z = 0.8 and 0.9. The presence of a new unknown phase (Ga1-x-yInxAly)2O3 in the Ga2O3-Al2O3-In2O3 system has been revealed for the first time. Further research and interpretation of new crystal phases are ongoing and will be published separately.
The crystal lattice parameters and unit cell volume of the monoclinic structure were analyzed in detail across a wide range of compositions, including the non-single-phase compositions, including multiphase samples, demonstrating the possibility of targeted tuning of the monoclinic structure by simultaneously replacing gallium cations in both octahedral and tetrahedral positions. An empirical expression relating the monoclinic lattice parameters to the average radius of M3+ (M = Ga, Al, In) cations was established, allowing the prediction of the crystal lattice parameters of β-(Ga1-x-yInxAly)2O3 based solely on its chemical composition (i.e. the average ionic radius of the cations).
The crystal structure refinement suggests that the tetrahedral positions of Ga1 atoms in the monoclinic (Ga1-x-yInxAly)2O3 structures are predominantly occupied by Ga3+ and Al3+ cations, while the octahedral Ga2 positions contain a mixture of Ga3+, Al3+ and In3+ cations. The incorporation of Al3+ and In3+ cations into the monoclinic (Ga1-x-yInxAly)2O3 structure has also been confirmed by analyzing the interatomic distances within MO4 tetrahedra and MO6 octahedra (M = Al, In, Ga) in the (Ga1-zAl0.69*zIn0.31*z)2O3 structures as a function of the Al and In content (z value).
The electronic structure calculations confirmed that the tetrahedral Ga3+ lattice positions are the preferentially substituted by Al3+ ions, rather than In3+ ones. A comparison of the calculated optical absorption spectra with Tauc-plots derived from experimental diffuse reflectance spectra led to a conclusion that (Ga1−x−yInxAly)2O3 compounds possess a direct band gap.

Fig. 1. Compositions of synthesized samples and the stability range of solid solutions with monoclinic β-Ga2O3, rhombohedral α-Al2O3 and cubic In2O3 structures within the Ga2O3–Al2O3–In2O3 system. Gray-shaded areas indicate two-phase regions in the adjacent binary systems. Solid circles represent single-phase samples while open circles correspond to the multiphase compositions. Red dashed lines mark the three investigated compositional cross-sections: A, B and C.

Fig. 2. Experimental XRD patterns of the (Ga1-zAl0.69*zIn0.31*z)2O3 series. Asterisks indicate the diffraction peaks of unidentified phase(s) which begin to emerge at z = 0.45 and became dominant in the samples with z = 0.8 and 0.9.

Fig. 3. VESTA plot of polyhedral view of crystal structure of double substituted β-(Ga1-zAl0.69*zIn0.31*z)2O3 solid solution highlighting mixed occupancy of the tetrahedral Ga1 and octahedral Ga2 sites with Ga3+/Al3+ and Ga3+/Al3+/In3+ ions, respectively (example for the z = 0.4 composition).

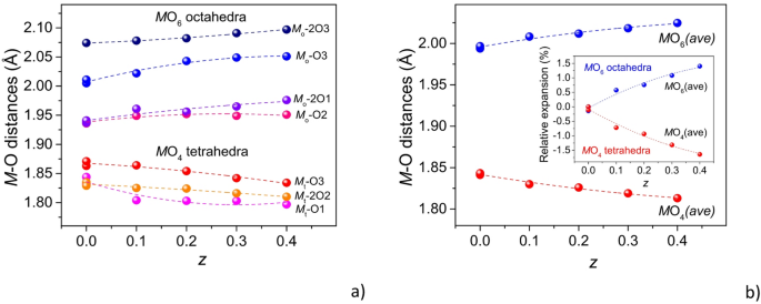
Fig. 4. Evolution of the individual (a) and average (b) interatomic distances within the MO4 tetrahedra and MO6 octahedra in the (Ga1-zAl0.69*zIn0.31*z)2O3 structures as a function of In(Al) content (z value). The inset on the right panel shows the relative elongation/contraction of the average distances. Data for the “pure” Ga2O3 structure (z = 0) are taken from Refs.

Fig. 5. Evolution of the lattice parameters and unit cell volume in the monoclinic (Ga1-zAl0.69*zIn0.31*z)2O3, (Ga1-xInx)2O3 and (Ga1-yAly)2O3 structures as a function of In(Al) content. Data for the a “pure” Ga2O3 structure and binary (Ga1-xInx)2O3 and (Ga1-yAly)2O3 solid solutions are taken from Refs. Blue dotted lines represent linear fits to the five different data sets of the (Ga1-xInx)2O3 powder and single crystal samples from Wenckstern. Black circles represent DFT calculation results (see Sect. "Diffuse reflectance spectra and optical band gap" for details).
DOI:
doi.org/10.1038/s41598-025-21074-7














